2.空間中有一個六角錐O-ABCDEF,底面為邊長2√2的正六邊形ABCDEF,線段
垂直底面且
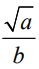
=√7+1,令平面OBF和平面OCE的二面角為θ,則sinθ的值為_________。(答案請簡化為
的型式,其中a,b為正整數)
詳解 (共 1 筆)
nomi
詳解 #7344172
則sinθ的值為 √2 / 3
2.空間中有一個六角錐O-ABCDEF,底面為邊長2√2的正六邊形ABCDEF,線段
垂直底面且
=√7+1,令平面OBF和平面OCE的二面角為θ,則sinθ的值為_________。(答案請簡化為
的型式,其中a,b為正整數)