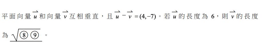
題組內容
A. 
8
詳解 (共 4 筆)
詳解
2
詳解
1111111111111111111111
詳解
不知道不知道不知道不知道不知道不知道不知道不知道不知道不知道
詳解
29
solve: 用畢氏定理先求u-v長度,再用畢氏定理求v長度