阿摩線上測驗
登入
首頁
>
研究所、轉學考(插大)-有機化學
>
94年 - 94 淡江大學 轉學考 有機化學#55933
> 申論題
題組內容
15.
B.在下列的標號1 ,2,3之slereo-center*決定出該之立體中心之(R)-或(S)-conr丨guration
相關申論題
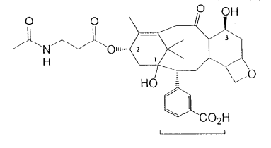
A.在下列為Taxol為新型的抗癌藥,結構如下圓所示。,請寫出三個不同,且整體不 能分割的官能基(烷類不算)的英文名字(寫中文者不給分,多寫只算前五者,其餘不算分。
#211864
(二) Predict the major product and offer a mechanistic explanation Hint: addition, SN2, cyclization, and then elimination.
#567116
二 、非選擇題 (一)For the following DBr addition reaction (D; deuterium), a cyclohexyl halide product (X) was obtained. Use "curved arrow" to show the details of the reaction mechanism of the formation of this product (X). Need to include the formation of intermediate(s) in your answer.
#567115
(C) are there for the unknown respectively?
#567110
(B) Determine the structure of the unknown.
#567109
(C)
#567108
(B)
#567107
(A) How many 1° (CH₃), 2° (CH₂), 3° (CH), 4°
#567083
5. Design a route to synthesize the corresponding product.
#567082
4. Provide a detail mechanism for the following reaction.
#567081
相關試卷
115年 - [無官方正解]115 國立臺灣大學_ 碩士班招生考試試題:有機化學(A)#137731
115年 · #137731
114年 - 114 台灣聯合大學系統_碩士班招生考試_化學類:有機化學#127002
114年 · #127002
113年 - 113 台灣聯合大學系統_碩士班招生考試試題_化學類:有機化學#122395
113年 · #122395
112年 - 112 台灣聯合大學系統_ 碩士班招生考試試題:有機化學#138486
112年 · #138486
112年 - 112-2 嘉南藥理大學_轉系招生藥學系考試試題_四技一年級:有機化學#119239
112年 · #119239
111年 - [無官方正解]111台灣聯合大學系統_ 碩士班招生考試試題:有機化學#138494
111年 · #138494
110年 - 110-2 嘉南藥理大學_轉系招生藥學系考試試題:有機化學#120872
110年 · #120872
110年 - 110 國立臺北科技大學_碩士班招生考試_分子科學與工程系有機高分子碩士班(甲組):有機化學#110883
110年 · #110883
110年 - 110 國立清華大學碩士班考試入學試題_部分研究所:有機化學#104992
110年 · #104992
110年 - 110 國立清華大學碩士班考試入學試題_生命科學院/乙組(化學與生醫工程組):有機化學#104958
110年 · #104958