阿摩線上測驗
登入
首頁
>
研究所、轉學考(插大)-微積分
>
101年 - 101 國立成功大學轉學生招生考試試題_微積分_(全校)#113215
> 申論題
題組內容
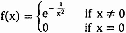
1. Define
a) Find f'(0) (6%)
相關申論題
b) Is f'(x) continuous at x=0 ? (6%)
#483715
2. Evaluate (10%)
#483716
3. Show that (12%)
#483717
4. The cardioid r= 2(1+cosθ) is rotated about the polar axis y=o.Find the area of the surface generated. (12%)
#483718
5. Evaluate dydx (10%)
#483719
6. Convert dydx to polar coordinates and evaluate. (10%)
#483720
7. Findat the point (x,y,z)= (2,-1,1) if w=x2+y2+z2 and z3-xy+yz+y3=1 (10%)
#483721
8. Two sides of a triangle are 10cm and 15cm, and are increasing at 3cm/sec and 4cm/sec, respectively, which the included angle is π/3 and decreasing at 0.5 rad/sec. Is the third side increasing or decreasing? at what rate? (12%)
#483722
9. Suppose the utility of purchases of x,y,z units of three different kinds of product is given by , where the price per unit of the products is $2, $5, and $1, respectively. If a consumer has $90 to spend, how many units of each product should be purchased to achieve maximum utility ? (12%)
#483723
10. Let D be the region in zy-plane bounded by x2 = y, x2 = 3y, y2=x,y2=3x . Use the transformation to evaluate the double integral.
#564648
相關試卷
114年 - 114 臺灣綜合大學系統_學士班轉學生考試試題:微積分A#137897
114年 · #137897
114年 - 114 臺灣綜合大學系統_學士班轉學生考試試題:微積分B#137819
114年 · #137819
114年 - 114 台灣聯合大學系統_學士班轉學生考試試題:微積分#137762
114年 · #137762
114年 - 114 台灣聯合大學系統_學士班轉學生考試試題:微積分#137761
114年 · #137761
114年 - 114 國立臺灣大學_轉學生招生考試_物理學系/土木工程學系/生物環境系統工程學系/生物機電工程學系:微積分(B)#137745
114年 · #137745
114年 - 114 國立臺灣大學_轉學生招生考試_數學系:微積分(A)#137744
114年 · #137744
113年 - 113 國立嘉義大學_轉學生招生考試試題_(全校):微積分#122986
113年 · #122986
112年 - 112 國立臺灣大學_碩士班招生考試題:微積分(D)#130254
112年 · #130254
112年 - 112 國立陽明交通大學_碩士班入學招生試題_統計學研究所﹕微積分與線性代數#130252
112年 · #130252
112年 - 112 國立嘉義大學_轉學生招生考試試題:微積分#123297
112年 · #123297