題組內容
6. An unknown metal sample X (single phase, with no obvious segregation) was measured by powder XRD using Cu Kα radiation (λ=1.5406 Å). The observed peaks are listed below.The observed peaks are listed below (backgroundsubtracted). Detection limit: reflections with a relative intensity < 0.5% are considered not observable. (10%)
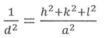
Here are the equations/information you may need below:
2dsin0=nλ
Simple cubic: all (hkl) reflections are allowed.
Body-centered cubic (bcc): reflections are allowed only when h+k+l is even.
Face-centered cubic (fcc): reflections are allowed only when h,k,l are all odd or all even.
Answer the following questions:
a) Please determine whether the unknown crystalline sample is simple cubic, face-centered cubic (fcc), or body-centered cubic (bcc). Explain your reasons.