阿摩線上測驗
登入
首頁
>
研究所、轉學考(插大)◆線性代數
>
109年 - 109 國立高雄大學_碩士班招生考試_應用數學系:線性代數#103313
> 申論題
題組內容
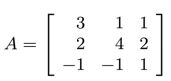
4 Let
a. Find an invertible matrix Q such that
AQ is a diagonal matrix.
相關申論題
(a) If rank(AB)=rank(A) , then B is invertible.
#436350
(b) If A is similar to B, then A and B have the same characteristic polynomial.
#436351
(c) If A3 +3A2+3A+ 1 = 0, then A is invertible.
#436352
(d) If A is symmetric, then all eigenvalues of A are real.
#436353
(a). Show that is a subspace of V.
#436354
b. Find , where and.
#436355
3 be a linear transformation and,where [e1, e2,e3] is the standard ordered basis for . Letbe an ordered basis for R3. Find .
#436356
b. Describe the set W = {p(x)|p(xc) is a polynomial and p(A) = 0}.
#436358
5 Let A with rank(A) = m. Show that A is invertible.
#436359
.a. Find all possible Jordan canonical forms of A.
#436360
相關試卷
112年 - 112 國立台灣大學_碩士班考試入學試題:線性代數(A)#130266
112年 · #130266
110年 - 110 國立清華大學碩士班考試入學試題_數學系碩士班:線性代數#105741
110年 · #105741
110年 - 110 國立高雄大學_碩士班招生考試_應用數學系:線性代數#105691
110年 · #105691
110年 - 110 國立中央大學_碩士班招生考試_數學系/數學、應用數學組(一般生、在職生):線性代數#105306
110年 · #105306
110年 - 110 國立清華大學碩士班考試入學試題_數學系:線性代數#104957
110年 · #104957
110年 - 110 國立中山大學碩士暨碩士專班招生考試_應數系碩士班/乙組:線性代數乙#104340
110年 · #104340
110年 - 110 國立中山大學碩士暨碩士專班招生考試_通訊所碩士班/甲組:線性代數#104309
110年 · #104309
110年 - 110 國立中山大學碩士暨碩士專班招生考試_應數系碩士班/丙組:線性代數丙#104308
110年 · #104308
110年 - 110 國立臺灣大學_碩士班招生考試_部分系所:線性代數(C)#100943
110年 · #100943
110年 - 110 國立臺灣大學_碩士班招生考試_工程科學及海洋工程學研究所丁組:線性代數(B)#100700
110年 · #100700