阿摩線上測驗
登入
首頁
>
電生理聽力學
> 100年 - 100年專門職業及技術人員高等引水人、驗船師、第1次食品技師、高等暨普通消防設備人員、普通地政士、專責報關人員、保險代理人保險經紀人及保險公證人、中醫師、語言治療師、聽力師、牙體技術人員考聽力師_聽力師#36810
100年 - 100年專門職業及技術人員高等引水人、驗船師、第1次食品技師、高等暨普通消防設備人員、普通地政士、專責報關人員、保險代理人保險經紀人及保險公證人、中醫師、語言治療師、聽力師、牙體技術人員考聽力師_聽力師#36810
科目:
電生理聽力學 |
年份:
100年 |
選擇題數:
80 |
申論題數:
0
試卷資訊
所屬科目:
電生理聽力學
選擇題 (80)
1 ABR 的閾值一般指足以產生可辨認具再現性的波形所需的最小音量,此波形指的是: (A)第三波 (B)第二波 (C)第五波 (D)第一波
2 梅尼爾氏症病患的聽覺誘發電位檢查最常用的是: (A)ASSR (B)ECochG (C)Click ABR (D)Middle latency response
3 內聽道中的前庭神經鞘細胞瘤,表現在聽力學檢查結果,下列何項最少見? (A)DPOAE 消失 (B)ABR 潛時延長 (C)Acoustic reflex decay 陽性反應 (D)PIPB roll-over 陽性
4 下列那項聽覺誘發電位檢查需要受試者專心聆聽? (A)ABR (B)ECochG(Electrocochleography) (C)P300 (D)Cochlear microphonic
5 針對聽神經瘤的診斷,合理判讀 ABR 結果必須結合下列何項檢查,其中不包括: (A)純音聽力檢查加上 Tone decay (B)中耳功能檢查加上 Acoustic reflex (C)語音聽力檢查加上 PIPB (D)耳蝸電位檢查加上 Masking level difference
6 ABR 的波幅變異性大,臨床判讀上較會用到的是: (A)第三波絕對波幅 (B)第五波/第一波的波幅比 (C)第三波/第一波的波幅比 (D)第五波的絕對波幅
7 年齡對 ABR 的影響,其表現的描述,何者為錯誤? (A)各波潛時隨嬰兒年齡增長而延長 (B)新生兒時第三波波幅往往比第一波波幅大 (C)嬰兒成長到 2 歲時,I-V 波間潛時達到成人值 (D)老年人 ABR 各波潛時隨年齡增加而延長
8 體溫對 ABR 的影響,下列敘述何者正確? (A)體溫下降時,ABR 各波潛時均延長 (B)此種潛時改變為不可逆 (C)體溫過高時,ABR 各波潛時均延長 (D)體溫過高對 ABR 的影響可能是細胞突觸傳導的延遲所致
9 以 click 檢測之 ABR 的閾值與純音聽力圖相關性最高的為: (A)500~1000 Hz (B)1000~2000 Hz (C)2000~4000 Hz (D)4000~8000 Hz
10 目前廣泛使用的新生兒聽力篩檢工具為: (A)OAE 或 automated ABR (B)ASSR 或 SSEP (C)BOA(behavioral observation audiometry) (D)Acoustic reflex 及 VRA(visual reinforcement audiometry) 代號:3301 頁次:12-2
11 中耳炎病患接受 ABR 檢查時,下述何者錯誤? (A)當中耳積液時,ABR 潛時延長明顯 (B)此時第一波及第五波潛時呈平行延長 (C)ABR 第一波至第三波之波間潛時延長被用來評估傳導性聽損之程度 (D)此時檢查之結果基本上反應出刺激音在抵達耳蝸時音量減弱
12 2-3 歲以上的幼兒主要的聽力評估工具為: (A)ASSR (B)ABR (C)OAE (D)Conditional play audiometry
13 當 OAE 消失,在斷定毛細胞功能失常前,應先排除其他可能性,但是下列何項不包括在內? (A)探管 probe tube 被耳垢阻塞 (B)耳道過軟或塌陷 (C)中耳病變如中耳積液 (D)腦性麻痺
14 單獨使用 OAE 做為新生兒聽篩工具,最主要的偽陽性因素為: (A)中耳羊水殘留 (B)先天性聽小骨異常 (C)聽覺神經病變 (D)先天耳道閉鎖
15 刺激音的相位對 ABR 的影響,何者不正確? (A) Rarefaction 的潛時會較 condensation 短,但第五波潛時則差異不大 (B)在高音強下,Alternating polarity 可用來減少刺激下的干擾 (C)Alternating polarity 一般建議在骨導 ABR 時使用 (D)Condensation stimuli 起初會引起鐙骨足板向外推動,而產生毛細胞去極化
16 耳蝸電圖的判讀,何者不正確? (A)應在梅尼爾氏症症狀發作時或內淋巴水腫狀態下立即檢查 (B)當聽力損失劣於 60 dB HL 時,對梅尼爾氏症的診斷助益不大 (C)耳蝸電圖可以合併甘油測試,了解 SP/AP 在脫水狀態與非脫水狀態的變化 (D)耳蝸電圖 SP/AP 比值對梅尼爾氏症診斷的敏感度不受患者純音聽力狀態影響
17 聽覺誘發電位檢查中 MLR 所記錄的時間視窗宜設定在何範圍? (A)10 ms (B)5 ms (C)80 ms (D)300 ms
18 關於 Late latency response 之主要反應 N1-P2,下列何項敘述錯誤? (A)波幅大小與刺激音強成正比 (B)反應潛時與刺激音強成正比 (C)波幅大小與刺激音間隔成正比 (D)波幅會因為反覆刺激而減低,適應現象與刺激音間隔有關
19 MMN 的臨床用途不包括下列何項? (A)評估嬰幼兒的高階聽覺處理 (B)描繪聽覺皮質的組織架構 (C)確認許多臨床病變如巴金氏症、失智症的神經功能失調 (D)評估學齡前兒童聽力閾值
20 那種聽覺誘發反應檢查不受到受測者注意力與認知之影響? (A) MMN(Mismatch Negativity) (B)P300 (C)ABR (D)Late cortical response 代號:3301 頁次:12-3
21 耳蝸的外毛細胞受支配的傳出性神經纖維多數來自: (A)同側的內側橄欖耳蝸複合體(Medial olivocochlear complex) (B)對側的外側橄欖耳蝸複合體(Lateral olivocochlear complex) (C)同側的外側橄欖耳蝸複合體(Lateral olivocochlear complex) (D)對側的內側橄欖耳蝸複合體(Medial olivocochlear complex)
22 手術中可以應用 ABR 監測的手術項目,不包括下列何項? (A)小腦橋腦腫瘤手術 (B)冠狀動脈繞道手術 (C)前庭神經截斷術 (D)腦幹血管減壓手術
23 嬰兒的 DPOAE 與成人的 DPOAE 比較,下列何者最常見? (A)比成人小 10 dB (B)比成人小 5 dB (C)比成人大 5 dB (D)兩者無差別
24 於加護病房的急性腦部外傷病人,以聽覺誘發電位檢查協助監測神經狀態時,下述觀察何者錯誤? (A)AMLR 對病患預後的推測不亞於 ABR (B)若 ABR 的結果不正常,其預後通常較不良 (C)24~27 小時的急救 ABR 若正常,可推測病患預後良好 (D)聽覺誘發電位在加護病房監測建議採連續多次追蹤檢查
25 手術中的誘發電位監測,下列描述何者錯誤? (A) ECochG 與 ABR 可以同時監測 (B)刺激音以 Tone burst 為主 (C)地極連貼可以共用 Fpz (D)ECochG 的分析時間可以設定為 15 ms
26 測量 DPOAE 時使用的 f2 與 f1 比值,在何種比率時 DPOAE 的波幅最大? (A)1.01~1.02 (B)1.21~1.22 (C)1.45~1.55 (D)2.45~2.55
27 懷孕 7 個月即早產之新生兒 ABR 聽力篩檢未通過時,可以建議: (A)執行 ASSR (B)高通濾波調整到 30 Hz (C)延後到著床後實際年齡 40 週時再執行聽力篩檢 (D)改到隔音室檢查
28 在睡眠或輕度鎮靜劑使用中,仍不受影響的聽覺誘發電位檢查不包括下列何項? (A)ALR(auditory late response) (B)ECochG (C)ABR (D)AMLR(auditory middle latency response)
29 ABR 記錄到雙第一波(Bifid wave I)時,可以採取何種方式來改善第一波的辨認? (A)增加刺激音強 (B)改變刺激音的相位 (C)改採垂直電極排列 (D)降低刺激速率
30 2 個月大的雙側小耳症嬰兒,為初步探知其聽力狀態,選擇下列聽力檢查中那一項最適合? (A) DPOAE 檢查 (B)Acoustic reflex 檢查 (C)ABR 檢查 (D)play audiometry
31 聽反射途徑並不經過下列那一結構? (A)上橄欖核 (B)第八對神經 (C)面神經核 (D)下視丘
32 鼓室圖檢查時,當外耳道的氣壓等於中耳腔的氣壓時,外耳道中探測音(probe tone)之聲壓位階 (sound pressure level, SPL)會是: (A)最小值 (B)最大值 (C)平均值 (D)中間值
33 下列檢查結果中那一項不常見於單純耳蝸後病變的病人? (A)患側耳聽反射衰退測驗有正(+)反應 (B)患側耳 ABR 第三、五波潛時延長 (C)患側耳鼓室圖檢查呈 peak pressure 消失 (D)患側耳 OAE 正常而 ABR 呈 dyssynchronization
34 交叉對側之聽反射的作動肌肉為: (A)鼓室張肌 (B)鐙骨肌 (C)腭帆提肌 (D)腭帆張肌 代號:3301 頁次:12-4
35 鼓膜和聽小骨鏈的質量、軟硬度、關節韌帶的摩擦力和黏滯性的不同,而使部分的聲能消耗,這種 現象即稱為: (A)聲順(acoustic admittance) (B)聲阻(acoustic impedance) (C)靜態聽順(static immittance) (D)聽反射衰減(acoustic reflex decay)
36 影響聽覺反射閾值的因素中,那一敘述錯誤? (A)刺激音頻寬愈高,則閾值愈大 (B)音量刺激的強度愈大,則反射的幅度也會隨之增大 (C)同樣的音量與收縮反射在同側會比較明顯 (D)隨著年齡的上升,啟動聽反射所需的純音刺激音量也會相對的提高
37 當患者純音閾值劣於聽覺反射的閾值時,必須考慮病患為何種聽損? (A)感音性聽損 (B)傳導性聽損 (C)神經性聽損 (D)功能性聽損
38 聽覺反射在不同病變位置的表現,那一敘述錯誤? (A)患有耳蝸病變的病人,其聽覺反射閾值大多高於正常人 (B)耳蝸後病變在 500 及 1000 Hz 的刺激頻率音中,聽覺反射衰減情形呈現正的機率高 (C)對側的反射會消失而同側的反射卻是正常,可出現在腦幹病變的病人 (D)當單側有傳導性聽力損失之氣骨導差異在 30 dB 以上時,會造成聽覺反射的消失
39 關於耳聲傳射 OAE 之臨床功能,下列何者正確? (A)藉由鑑定內毛細胞功能作為新生兒聽力篩檢 (B)藉由前庭神經核接收到神經衝動與否,鑑別傳導性聽損與感音性聽損 (C)藉由確定下丘發出抑制性神經衝動與否,鑑別聽覺神經病變 (D)藉由 OAE 強度降低或消失以監測耳毒性藥物之使用
40 下列何項檢查結果與聽覺神經病變 auditory neuropathy 無關? (A) OAE 正常或增強,但對側抑制卻消失 (B)耳蝸微音電位(CM)正常,而 ABR 缺失或異常 (C)ABR 消失而 OAE 卻正常 (D)耳蝸電圖正常而 OAE 也正常或增強
41 下列有關耳蝸電圖(ECochG)的敘述何者正確? (A)以短聲刺激耳蝸電圖(click-evoked ECochG)有無反應,與高頻聽力(1000 Hz~ 4000 Hz)相關 (B)耳蝸電位波形的主要成分都在刺激音後 5 毫秒(ms)~10 毫秒內 (C)一般在耳垂(ear lobe)與乳突(mastoid)可以清楚的記錄到 (D)耳蝸加總電位(summating potential)的來源主要來自於耳蝸內產生內淋巴電位(endolymph potential, EP)
42 下列選項關於耳蝸電圖(ECochG)的臨床應用何者正確?①協助診斷梅尼爾氏症(Meniere’s disease)/ 內淋巴水腫(endolymphatic hydropsy) ②合併聽覺腦幹反應(ABR),用來找出第五波(wave V) 的潛值(latency) ③合併聽覺腦幹反應(ABR)用於內耳手術監測顏面神經的功能(intraoperative monitoring) ④預估人工電子耳病患的聽力殘存狀況(hearing reserve) (A)①② (B)①②④ (C)①④ (D)①③④
43 下列那一臨床狀況會影響耳蝸電圖(ECochG, electrocochleography)? (A)口服鎮靜劑水化氯醛(chloral hydrate) (B)全身麻醉(general anesthesia) (C)靜脈注射打嗎啡類止痛劑(IV morphine) (D)聽神經瘤(acoustic neuroma)手術時移除腫瘤以及附近耳蝸血管(cochlear blood supply) 代號:3301 頁次:12-5
44 關於堆疊性聽腦幹反應(stacked ABR)敘述何者錯誤? (A)可分別得到個別頻帶的 ABR 反應(derived-band ABR) (B)對於偵測小於 1 公分的聽神經瘤(acoustic neuroma)比標準聽性腦幹反應(standard ABR)更靈敏 (C)對於劣於 60 dB HL 的聽損者,堆疊性聽腦幹反應更能偵測出耳蝸後病變(retrocochlear pathology) (D)可得知聲音在不同頻帶的旅行波耳蝸傳送時間(cochlear transport time, traveling-wave delay)
45 下列那一項是診斷聽神經瘤(acoustic neuroma)的黃金標準(gold standard)? (A)腦部磁振造影(Gd-DTPA MRI) (B)患耳短聲刺激之聽性腦幹檢查(click ABR)沒有反應 (C)短聲刺激之聽性腦幹檢查兩耳第五波潛時差異(interaural wave V latency delay, IT5 delay)超過 0.2 毫秒(ms) (D)短聲刺激之聽性腦幹檢查患耳第一波與第五波潛時差異(wave I-V delay)超過 4.4 毫秒
46 聽性腦幹反應(ABR)的電位很小,容易受到雜訊干擾。下列那些方法或措施可用來降低雜訊得到較 好的訊號?①利用差分放大(differential amplification) ②使用帶通濾波(bandpass filtering) ③平 均加算結果(averaging) ④以 sensitivity setting 排除含有過大干擾波之樣本進入平均加算 (A)③ (B)②③ (C)①②③ (D)①②③④
47 使用插入式耳機(insert phone)來作聽性腦幹反應(ABR)檢查,在潛時(latency)的測量上,機 器通常會自動作一個 0.8 毫秒(ms)~0.9 ms 的修正。請問原因主要是下列何者? (A)因為插入式耳機產生音波的膜(diaphragm)反應較慢,會延遲,所以要作修正 (B)因為插入式耳機阻抗(impedance)較大,會延遲,所以要作修正 (C)因為使用插入式耳機會使耳膜(tympanic membrane)以及中耳(middle ear)等構造延遲反應,所 以要作修正 (D)因為插入式耳機使用聽導管(acoustic silicon tubing),會延遲聲音的傳導,所以要作修正
48 為了得到身體微弱的電訊號,常常需要靠訊號平均加算技術(averaging)來達成。請問如果想在雜 訊 10 微伏特(μV, microvolt)等級的肌電訊號中得到訊噪比(signal-to-noise ratio, SNR)3 dB 且大小 為 2 μV 的眼前庭誘發肌電位(ocular vestibular evoked myogenic potential, oVEMP)。根據數學理論 估計需要平均多少次(sweeps)以上才足夠? (A)15 次 (B)50 次 (C)100 次 (D)225 次
49 下列那一項聽覺誘發電位反應(auditory evoke responses)產生反應的解剖位置一般不認為是在聽 覺皮質(auditory cortex)以及大腦? (A)不匹配負波反應(mismatch negativity, MMN) (B)聽覺誘發電位 P300 (C)中潛值聽覺誘發反應的 Pa 波(Pa wave of auditory middle latency responses, AMLR) (D)快速調變率的聽覺穩態反應(ASSR, fast modulation rate)
50 下列關於聽覺穩態反應(auditory steady-state response, ASSR)的敘述何者錯誤? (A)使用調頻(frequency modulation)的聲音刺激比使用調幅(amplitude modulation)的刺激反應振幅 來得大 (B)可用來預測聽障者的聽力閾值,對於重度聽損的預測較佳 (C)刺激音的單位是 dB HL (D)在聽損兒童 ASSR 所測得的閾值與特定頻率聽性腦幹反應(frequency-specific ABR)的閾值相關, 尤其是高頻刺激音(2 kHz, 4 kHz)的 ABR 閾值 代號:3301 頁次:12-6
51 下列有關施作眼前庭誘發肌電位(ocular vestibular evoked myogenic potential, oVEMP)的敘述,何者 正確? (A)施作時眼睛應向下看,在同側(ipsilateral side)的眼眶紀錄 (B)施作時眼睛應向上看,在同側(ipsilateral side)的眼眶紀錄 (C)施作時眼睛應向下看,在對側(contralateral side)的眼眶紀錄 (D)施作時眼睛應向上看,在對側(contralateral side)的眼眶紀錄
52 關於(中樞)聽覺處理障礙((central) auditory processing disorder, cAPD)的敘述何者錯誤? (A)在小孩的發生率約 2~3%,男生比女生多 (B)病童多數智商(intelligence coefficient, IQ)較差,以致於有閱讀困難(difficulty reading comprehension), 語言能力遲緩(delay in speeh and language)等問題 (C)病童的在有噪音的情形下對於語音的辨識有困難(difficulty recognition of speech in noise) (D)使用 FM 系統是該病的介入治療方法(intervention)之一
53 聲導抗檢查(acoustic immitance)時將探測器(probe)置於右耳,耳機(earphone)置於左耳。測量 對側(contra-lateral)的聽反射(acoustic reflex)的目的是想要測量下列何者? (A)右側的顏面神經,左側的聽反射閾值 (B)右側的第五對腦神經(cranial nerve V)與右側的聽反射閾值 (C)右側的重振現象(recruitment),左側的反重振(decruitment)現象 (D)左側的顏面神經,右側的聽反射閾值
54 對於 3 歲到 5 歲的學齡前兒童聽力篩檢準則(preschool hearing screening protocol),需要就醫轉診 (medical referral)的條件敘述何者錯誤? (A)有耳部滲出液(ear drainage) (B)遊戲聽力篩檢測試(screening play audiometry)在 500 Hz、1000 Hz、2000 Hz 及 4000 Hz 任一頻率 沒通過 (C)通氣管(tympanostomy tube)手術置入後兒童,鼓室圖顯示耳道相當體積(equivalent ear canal volume) > 1.0 cm3 (D)耳聲傳射(OAE)篩檢沒有通過
55 下列那一項不是 2007 年美國嬰幼兒聽力聯合委員會(Joint Committee on Infant Hearing, JCIH)對於 延遲性聽損(delayed-onset or progressive hearing loss)危險因子(risk factor)的建議? (A)出生後(postnatal)病毒性(viral)以及細菌性(bacterial)腦膜炎(meningitis) (B)顱顏異常(craniofacial anomalies) (C)尤塞氏症候群(Usher syndrome) (D)曾經使用葉克膜體外循環(ECMO)
56 根據 2007 年美國嬰幼兒聽力聯合委員會(Joint Committee on Infant Hearing, JCIH)對於出生(newborn) 到 6 個月內的嬰幼兒聽力測試組合(test battery)不包括下列何者? (A)聽覺反應之臨床觀察(clinician observation of auditory behavior) (B)骨導特定頻率之聽性腦幹反應(bone-conducted frequency-specific ABR) (C)短聲耳聲傳射(transient evoked otoacoustic emissions, TEOAE) (D)226 Hz 測試音 probe tone 之鼓室圖(tympanogram)
57 下列指引關於以聽性腦幹反應施行嬰幼兒聽力篩檢(guidelines of ABR test for auditory screening in infants & young children)的敘述何者錯誤?①應使用覆耳式耳機(supra-aural earphone) ②應使用 慢速的刺激速率< 20 次/秒 ③應使用噪音遮蔽(noise masking) ④分析的時間窗(analysis window time)10 毫秒(ms) (A)①④ (B)②③ (C)①③④ (D)①②③④ 代號:3301 頁次:12-7
58 下列有關耳聲傳射(OAE)以及自動聽性腦幹反應檢查(automated ABR)來做新生兒聽力篩檢的敘 述,何者錯誤? (A)使用單一工具篩檢時,automated ABR 的轉診率(refer rate)比 OAE 低,平均所花費的醫療費用 也較低 (B)聽篩只有一耳沒通過,第二次篩檢時只加強做沒通過的那一邊 (C)聯合兩種篩檢可降低轉診率(refer rate)及偽陽性(false positive rate) (D)聯合兩種篩檢可以用來區分聽損的類型(type of hearing disorder)
59 下列那些聽力檢查法,在新生兒聽力篩檢(newborn screening)沒有在建議使用之列?①聽覺穩態反 應(auditory steady-state response, ASSR) ②自動聽性腦幹反應(automated ABR) ③鼓室圖篩檢 (acoustic immittance) ④視覺加強聽力檢測(visual reinforcement audiometry, VRA) (A)①③ (B)③④ (C)①③④ (D)①②③④
60 關於短聲耳聲傳射(transient evoked otoacoustic emissions, TEOAE)的敘述何者錯誤? (A) TEOAE 反應的大小與刺激音的強度(intensity)是非線性(non-linear)函數關係,但刺激音強低 於 50 dB peSPL (peak sound pressure level)時,兩者呈現直線正比關係(linear growth) (B)有自發性耳聲傳射(SOAE)之耳,其 TEOAE 反應幅度(amplitude)與頻譜尖峰數(spectral peaks) 比沒有 SOAE 之耳大且多 (C)小孩(children)的 TEOAE 反應幅度(amplitude)比成人(adults)來的小 (D)當聽損超過 40 dB HL,TEOAE 出現之機率會少於 10%
61 由於中耳炎好發於 7 個月到 18 歲的兒童,1997 年美國聽語學會針對中耳功能篩檢設立醫療轉診的準 則(ASHA referral criteria for immittance screening),請問下列何者不符合轉診標準? (A)耳有滲液(ear drainage),之前無耳手術或治療史 (B)學齡 6 歲以上兒童初次測試鼓室圖顯示尖峰聽導納(Ytm) < 0.4 (C)無耳手術或治療史,耳道相當體積(equivalent ear canal volume, Vea)> 1.0,且鼓室圖為平線(flat tympanogram) (D)嬰兒(infants)鼓室圖重複顯示尖峰聽導納< 0.2 或是鼓室寬度 TW > 235
62 下列有關嬰兒鼓室圖(tympanogram in infants)的敘述何者錯誤? (A)以低頻測試音(low-frequency probe tone)(例如 226 Hz)測試正常嬰兒的中耳所得到的鼓室圖會 呈現“W"形狀 (B)用高頻測試音(例如 1000 Hz)所測得的鼓室圖若為平線(flat tympanogram),表示嬰幼兒可能有 中耳疾病 (C)以聽反射(acoustic reflex)檢查來確認嬰兒中耳功能正常與否,需參考鼓室圖的圖形特性來判讀 (D)鼓室圖的圖形較不規則原因不明,與耳道軟骨、耳膜的移動、探頭的移動等可能有關
63 下列耳聲傳射(otoacoustic emissions, OAE)何者不屬於誘發性耳聲傳射(evoked OAE, EOAE)? ①刺激頻率耳聲傳射(stimulus-frquency OAE, SFOAE) ②變頻耳聲傳射(distortion product OAE, DPOAE) ③短聲耳聲傳射(transient-evoked OAE, TEOAE) ④自發性耳聲傳射(spontaneous OAE, SOAE) (A)① (B)④ (C)②③ (D)①④
64 目前誘發性耳聲傳射檢查(evoked otoacoustic emissions, EOAE)的臨床應用包括下列何者?①聽神 經瘤(vestibular schwannoma)手術前評估與手術方式決定 ②評估耳毒性(ototoxicity) ③聽神經 病變的鑑別診斷(differential diagnosis of auditory neuropathy) ④評估噪音傷害(noise exposure) (A)②④ (B)①③ (C)②③④ (D)①②③④
65 今以頻率 f1 音強 L1 與頻率 f2 音強 L2 的兩個純音(f1<f2)來操作變頻耳聲傳射(distortion-product
OAE, DPOAE)檢查。請問下列敘述何者正確?(A)DPOAE 反應只會出現在比 f2 頻率還低的頻帶(B)f1 與 f2 的比值(f2/f1)越大,DPOAE 反應就越大(C)在較弱的刺激音強範圍(如 45 至 65 dB SPL),L1>L2 的設定所產生的 DPOAE 反應比 L1=L2 來
得大(D)一般而言在頻率 2f2-f1 所測得的 DPOAE 反應最大
66 根據現在對於聽覺誘發不匹配負波反應(mismatch negativity, MMN)的研究顯示,MMN 的反應可 來自於下列何處?①螺旋神經節(spiral ganglion) ②耳蝸神經核(cochlear nucleus) ③下丘(inferior colliculus) ④主要聽覺皮質(primary auditory cortex) ⑤次要聽覺皮質(secondary auditory cortex) ⑥大腦額葉(cerebral frontal lobe) (A)①②③ (B)④⑤ (C)④⑤⑥ (D)②③
67 下圖是正常耳短聲(click)聽性腦幹反應(auditory brainstem response, ABR)的結果,請問那些是反 應的第 V 波?
(A)①② (B)①③④ (C)①②④ (D)①②③④
68 下圖為用不同耳機輸出一短聲(click)所得到的時域波形圖(T1, T2)以及頻譜特性圖(S1, S2)。 請問以插入式耳機(insert phone)輸出 click 的頻譜特性圖與時域波形圖應是下列何者?
(A)S1, T1 (B)S1, T2 (C)S2, T1 (D)S2, T2
69 (A)敏感度 0.9,特異性 0.5 (B)敏感度 0.9,特異性 0.2 (C)敏感度 0.5,特異性 0.9 (D)敏感度 0.8,特異性 0.9
70 承上題的圖形與數據。請問下列那一種檢查或是檢查的組合有最佳的診斷率(diagnosis rate)? (A)單一耳鏡檢查(otoscopy alone) (B)鼓室圖之尖峰聽導納(Ytm) (C)耳鏡檢查+尖峰聽導納(otoscopy+Ytm) (D)耳鏡檢查+鼓室寬度(otoscopy+TW)
71 40 歲男性,門診主訴開始突然右耳聽力喪失、眩暈嘔吐已有 1 天。追問病史顯示右耳近日內有悶漲 感、耳際時有隆隆之鳴聲。類似情形數月前也有發作 1 次,只是沒有這次嚴重。但平時並沒有聽力 問題,也沒有高血壓、糖尿的病史。下面為該病患的聽力圖以及鼓室圖。 其他的聽力檢查結果如下表。 請問以病史以及聽力檢查來看,該病患的診斷最可能是下列何者? (A)右耳突發性耳聾(sudden hearing loss) (B)右耳前庭神經炎(vestibular neuritis) (C)右耳聽神經瘤(acoustic neuroma) (D)右耳梅尼爾氏症(Meniere’s disease)
72 下圖為四種不同的聽覺電生理檢查之結果,其圖形與檢查名稱的配對何者正確?
(A) 1 為 auditory middle latency response(AMLR) (B)2 為 auditory brainstem response(ABR) (C)3 為 auditory late response(ALR) (D)4 為 electrocochleography(ECochG)
73 下圖為一病患右耳聽性腦幹反應(auditory brainstem response)檢查的結果,請問該耳閾值結果下列 何者最為適當?
(A)90 dB HL (B)70 dB HL (C)40 dB HL 或小於 40 dB HL (D)40 dB nHL 或小於 40 dB nHL
74 病患來診主訴右側聽力不良,檢查發現右耳氣導聽力閾值(air-conduction threshold level) 250 Hz 至 8000 Hz 都在 30 dB HL 至 40 dB HL 之間。下表是以最大可輸出 125 dB HL 的聽覺反射儀作測量所得 到的聽覺反射閾值(acoustic reflex threshold)以及聽反射衰減(acoustic reflex decay)報告。請問該 病患最可能的診斷為下列何者?
(A)右側老年性聽障(presbycusis) (B)右側中耳炎(ototis media) (C)右側聽神經瘤(acoustic neuroma) (D)右耳聽神經病變(acoustic neuropathy)
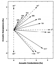
75 下圖為不同頻率的測試音用來測量中耳聲導納(acoustic admittance)的笛卡兒座標圖(cartesian)。 conductance 為聲導,susceptance 為聲納。以此圖推測該耳的共振頻率(resonant frequency)最接近 下列何者? (A)226 Hz (B)502 Hz (C)875 Hz (D)1100 Hz
76 下圖為耳蝸柯氏器(organ of corti)的構造,請問耳聲傳射 DPOAE 是由那一個構造產生的?
(A)1 (B)2 (C)3 (D)8
77 下圖是以交替相位(alternating phase)的短聲(click)施作耳蝸電圖(ECochG)的結果,請問其中 電位 a 及電位 b 分別是由上圖柯氏器官的那些構造產生的?
上
下
(A)1 產生電位 a,7 產生電位 b (B)2 產生電位 a,8 產生電位 b (C)4 產生電位 a,1 產生電位 b (D)7 產生電位 a,2 產生電位 b
78 (A)自發性耳聲傳射(spontaneous otoacoustic emissions, SOAE) (B)短聲耳聲傳射(transient-evoked OAE, TEOAE) (C)變頻耳聲傳射(distortion-production OAE, DPOAE) (D)刺激頻率耳聲傳射(stimulus-frquency OAE, SFOAE)
79 請問根據上題,該儀器所使用的聲音刺激最可能是下列何者? (A)77-dB peSPL(peak sound pressure level)之短聲(click) (B)77-dB peSPL 之 500-Hz tone burst (C)77-dB peSPL 之 1000-Hz tone burst (D)77-dB peSPL 之白噪音(white noise)
80 承 78 題圖形,若以訊噪比(signal-to-noise ratio, SNR)6 dB 來看,該耳聲傳射在下列那些頻率有反 應?①0.5 kHz ②2.0 kHz ③5.0 kHz ④6.0 kHz (A)①②③④ (B)②③ (C)①②③ (D)②③④
申論題 (0)
相關試卷
114年 - 114 專技高考_聽力師:電生理聽力學#129149
114年 · #129149
113年 - 113 專技高考_聽力師:電生理聽力學#121761
113年 · #121761
112年 - 112 專技高考_聽力師:電生理聽力學#115995
112年 · #115995
111年 - 111 專技高考_聽力師:電生理聽力學#109992
111年 · #109992
110年 - 110 專技高考_聽力師:電生理聽力學#100694
110年 · #100694
109年 - 109 專技高考_聽力師:電生理聽力學#89504
109年 · #89504
108年 - 108-2 專技高考_聽力師:電生理聽力學#78346
108年 · #78346
107年 - 107-2 專技高考_聽力師:電生理聽力學#71186
107年 · #71186
106年 - 2次高考_聽力師/電生理聽力學#63997
106年 · #63997
105年 - 105-2 專技高考_聽力師:電生理聽力學#53990
105年 · #53990