阿摩線上測驗
登入
首頁
>
統測◆03電機類、04資電類◆(一)基本電學、基本電學實習、電子學、電子學實習
> 100年 - 100 二技統測_電機類、電子類_專業科目(一):電子學與電路學#18167
100年 - 100 二技統測_電機類、電子類_專業科目(一):電子學與電路學#18167
科目:
統測◆03電機類、04資電類◆(一)基本電學、基本電學實習、電子學、電子學實習 |
年份:
100年 |
選擇題數:
40 |
申論題數:
0
試卷資訊
所屬科目:
統測◆03電機類、04資電類◆(一)基本電學、基本電學實習、電子學、電子學實習
選擇題 (40)
1. 下列何者為三五族半導體之組成元素? (A) 矽 (B) 鍺 (C) 氯化鈉 (D) 砷化鎵 的
2. 超大型積體電路中,所謂 0.35 微米製程指的是 MOSFET 通道的: (A) 最小長度 (B) 最小高度 (C) 最大寬度 (D) 最大厚度 的
3. 有關主動濾波器及被動濾波器之敘述,下列何者錯誤? (A) 主動濾波器一般採用主動元件搭配被動元件設計 (B) 被動濾波器不包含主動元件 (C) 主動濾波器可適用於低頻範圍之應用 (D) 被動濾波器之最大電壓增益可大於 1 的
4. 下列何種 FET 在製作時未事先製作通道? (A) 空乏型 MOSFET (B) 增強型 MOSFET (C) N 通道 JFET (D) P 通道 JFET 的
5. 下列何者為主動元件? (A) 電阻器 (B) 電容器 (C) 電晶體 (D) 電感器 的
6. 功率電晶體的集極與外殼通常接在一起,其主要目的為何? (A) 美觀大方 (B) 製造方便 (C) 散熱較佳 (D) 易於辨認 的
7. MOSFET 是以何種效應控制汲極與源極間之電流? (A) 磁場效應 (B) 電場效應 (C) 光電效應 (D) 霍爾效應 的
8. 由電晶體組成之振盪器,其必要條件為何? (A) 同時含有電感及電容元件 (B) 具有正回授 (C) 含有負電阻特性之元件 (D) 含有壓電效應之元件 的
9. 有關 N 通道增強型 MOSFET 之敘述,下列何者正確? (A) 輸出電阻與通道長度調變效應無關 (B) 臨界電壓與基體效應無關 (C) 閘極與源極間之電壓愈大,汲極電流愈大 (D) 汲極電流與製程參數無關 的
10.有一 N 通道空乏型 MOSFET 的汲極飽和電流 I
DSS
= 8mA,截止電壓 V
GS ( off )
= −4V,則 在 V
GS
= 0V 的情況下,汲極電流 ID =? (A) 8mA (B) 10mA (C) 12mA (D) 16mA 的
11.如圖(一)所示之電路,輸出電壓 Vo =?
(A) +Vm (B) −Vm (C) +2Vm (D) −2Vm
12.如圖(二)所示之電路,其功能為何?
(A) 半波整流器 (B) 全波整流器 (C) 積分器 (D) 微分器
13.如圖(三)所示之電路,輸出電壓 Vo =?
(A) −5V (B) +5V (C) −10V (D) +10V
14.如圖(四)所示之電路,其功能為何?
(A) 定位器 (B) 截位器 (C) 峰值檢波器 (D) 電壓放大器
15.如圖(五)所示之電路,Vo之波形為何?
(A) 三角波 (B) 方波 (C) 鋸齒波 (D) 弦波
16.如圖(六)所示之電路,此電路為哪一種振盪器?
(A) 考畢子振盪器 (B) 哈特萊振盪器 (C) RC 移相振盪器 (D) 韋恩電橋振盪器
17.如圖(七)所示之數位至類比轉換器電路,輸出電壓 Vo =?
(A) 0.25V (B) 0.5V (C) 1V (D) 2V
18.如圖(八)所示之電路,電晶體導通時 V
BE
= 0.7V,飽和時 V
CE
= 0.2V,欲使電晶體工作於 飽和區,則 RL最小值約為何?
(A) 8.27kΩ (B) 6.34kΩ (C) 4.82kΩ (D) 1.05kΩ
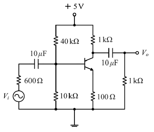
19.如圖(九)所示之電路,設電晶體之 β = 200,則電壓增益約為何?
(A) −1.2 (B) −4.5 (C) −10.8 (D) −40.1
20.如圖(十)所示之電路,若 V
DD
= 3V,I
REF
= 0.1mA,Q
1
、Q
2
及 Q
3
之轉導 g
m
= 10mA/V, 輸出電阻 r
o
= 20 kΩ,則電壓增益約為何?
(A) −100 (B) −200 (C) −400 (D) −600
21.兩電流
安培,則下列有關兩電流相位 之敘述,何者正確? (A) i
1
(t ) 及 i
2
(t )同相位 (B) i
1
(t ) 超前 i
2
(t )之相角為60° (C) i
1
(t ) 落後 i
2
(t )之相角為90° (D) 兩電流相位無法比較 的
22.則此串聯電路之特徵方程式 為何? (A) S
2
+1 = 0 (B) S
2
+ 2= 0 (C) S
2
+S + 10 (D) S
2+
2S + 1=0
23.承接第 22 題,此串聯電路之諧振頻率為何? (A) 0rad/s (B) 1rad/s (C) 2rad/s (D) ∞rad/s
24.,則 v (t )及i (t )之有效值( Vrms , I rms ) , 為何?
25.承接第 24 題,此負載吸收之平均功率為何? (A) 5 W (B) 6 W (C) 7 W (D) 8 W
26.一線性非時變電路之單位脈衝響應輸出為
分別為單位脈衝函數 及單位步級函數,則此電路之網路函數(轉移函數)為何?
27.某網路的輸出響應為
,則此輸出之穩態值為何? (A) 0 (B) 1 (C) 2 (D) ∞ 的
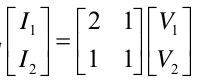
28.一雙埠網路以矩陣型式表示為
, 若改用傳輸參數矩陣
- 表示,則下列選項何者正確? (A) A = −1 且 D = −2 (B) B = 1 且 C = 1 (C) B = 1 且 C = −2 (D) A = 1 且 B = 1 的
29.若有效值為 1伏特之正弦波電壓源與 R、L、C串聯電路連接,並產生串聯共振,則電容器 C 兩端電壓有效值為何?
30.,電流i 為何? (A) 2A (B) 1A (C) −2A (D) −4A
31.承接第 30 題,1V 電壓源之功率為何? (A) 供給 4W (B) 吸收 1W (C) 吸收 2W (D) 供給 2W
32.若求 a、b 兩端之諾頓等效電路,則諾頓等效電流源為何? (A) −1A (B) 1A (C) 2A (D) 3A 圖(十二) 的
33.承接第 32 題,a、b 兩端之等效電阻為何? (A) 0.33Ω (B) 1Ω (C) 2Ω (D) 3Ω 的
34.若電阻 R 可獲得最大功率,則 R 值為何? (A) 5Ω (B) 4.25Ω (C) 2.5Ω (D) 1.25Ω 圖(十三) 的
35.承接第 34 題,電阻 R 可獲得之最大功率為何? (A) 0.5W (B) 1.8W (C) 4.2W (D) 5.6W 的
36.若i(0
-
) =0 A 且開關於t = 0秒時閉合,則電路之時間常數為何? (A) 1 秒 (B) 0.5 秒 (C) 0.1 秒 (D) 0.05 秒
37.承接第 36 題,開關閉合後之i (t)為何? (A) 1-e
-10t
A (B) 2-2e
-t
A (C) 2-e
-5t
A (D) 1-2e
-2t
38.此電路功能為何種濾波器? (A) 帶拒濾波器 (B) 帶通濾波器 (C) 高通濾波器 (D) 低通濾波器 圖(十五) 的(背面尚有試題) 公告 試題電子類、電機類 專業科目(一) 共 8 頁 第 8 頁
39.承接第 38 題,此濾波器之截止角頻率為何? (A) 2000 rad/s (B) 1500 rad/s (C) 1000 rad/s (D) 500 rad/s
40.如圖(十六)所示之雙埠網路,若其以矩陣型式表示為
,則下列敘述 何者正確?
申論題 (0)
相關試卷
115年 - [無官方正解]115 四技二專統測_電機與電子群電機類 電機與電子群資電類_專業科目(一):基本電學、基本電學實習、 電子學、電子學實習#139187
115年 · #139187
114年 - 114 四技二專統測_電機與電子群電機類 電機與電子群資電類_專業科目(一):基本電學、基本電學實習、 電子學、電子學實習#126877
114年 · #126877
113年 - 113 四技二專統測_電機與電子群電機、電資類_專業科目(一):基本電學、基本電學實習、 電子學、電子學實習#119627
113年 · #119627
112年 - 112 四技二專統測_電機與電子群電機、電資類_專業科目(一):基本電學(實習)、電子學(實習)#114333
112年 · #114333
111年 - 111 四技二專統測_電機與電子群電機、電資類_專業科目(一):電子學(含實習)、基本電學(含實習)#107683
111年 · #107683
110年 - 110 四技二專統測_電機與電子群電機類、電機與電子群電資類_專業科目(一):電子學、基本電學#98522
110年 · #98522
109年 - 109 四技二專統測_電機與電子群電機類、電機與電子群資電類_專業科目(一):電子學、基本電學#85155
109年 · #85155
108年 - 108 四技二專統測_電機與電子群電機類、電機與電子群資電類_專業科目(一):電子學、基本電學#79927
108年 · #79927
107年 - 107 四技二專統測_電機與電子群電機類、電機與電子群資電類_專業科目(一):電子學、基本電學#68917
107年 · #68917
106年 - 106 四技二專統測_電機與電子群電機類、電機與電子群資電類_專業科目(一):電子學、基本電學#61702
106年 · #61702