阿摩線上測驗
登入
首頁
>
數論
> 100年 - 100 國家安全情報特種考試_三等_數理組:數論#45335
100年 - 100 國家安全情報特種考試_三等_數理組:數論#45335
科目:
數論 |
年份:
100年 |
選擇題數:
0 |
申論題數:
6
試卷資訊
所屬科目:
數論
選擇題 (0)
申論題 (6)
一、求出四組滿足方程式 35 x + 55 y + 77 z = 1 的整數解 ( x, y, z ) 。(20 分)
【已刪除】二、求 同 時 滿 足 下 列 條 件 的 最 小 正 整 數n:
為 完 全 平 方 數 ( 即 m
2
的 形 式 ) ,
為完全立方數,且
為完全五次方數。(20 分)
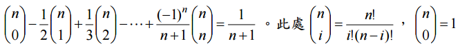
【已刪除】三、證明:
為二 項係數。(20 分)
四、求所有小於 36 的正整數 n ,使得 36 整除 n
9
+ n
6
+ n
3
+ 1 。(20 分)
⑴ ab − a − b 不可能寫成 a ⋅ x + b ⋅ y 的形式,其中 x, y 為非負整數。
⑵任意比 ab − a − b 大的整數都可以寫成 a ⋅ x + b ⋅ y 的形式,其中 x, y 為非負整數。
【例如: a = 3 , b = 5 ,則 7 無法寫成 3 ⋅ x + 5 ⋅ y 的形式,其中 x, y 為非負整數﹔但 8 = 3 + 5 , 9 = 3 ⋅ 3 ,10 = 2 ⋅ 5 ,11 = 2 ⋅ 3 + 5 …。事實上,任意比 7 大的整數都可以 寫成 3 ⋅ x + 5 ⋅ y 的形式。】
相關試卷
114年 - 114 國家安全情報特種考試_三等_數理組(選試英文):數論#127779
114年 · #127779
107年 - 107 國家安全情報特種考試_三等_數理組:數論#74240
107年 · #74240
105年 - 105 國家安全情報特種考試_三等_數理組:數論#55617
105年 · #55617
104年 - 104 國家安全情報特種考試_三等_數理組:數論#42733
104年 · #42733
103年 - 103 國家安全情報特種考試_三等_數理組:數論#43241
103年 · #43241
102年 - 102 國家安全情報特種考試_三等_數理組:數論#44082
102年 · #44082
101年 - 101 國家安全情報特種考試_三等_數理組:數論#44636
101年 · #44636
99年 - 99 國家安全情報特種考試_三等_數理組:數論#46534
99年 · #46534