阿摩線上測驗
登入
首頁
>
工程數學(應用數學, 線性代數、微分方程、複變函數與機率)
> 100年 - 100 國家安全情報特種考試_三等_電子組:工程數學#35888
100年 - 100 國家安全情報特種考試_三等_電子組:工程數學#35888
科目:
工程數學(應用數學, 線性代數、微分方程、複變函數與機率) |
年份:
100年 |
選擇題數:
20 |
申論題數:
6
試卷資訊
所屬科目:
工程數學(應用數學, 線性代數、微分方程、複變函數與機率)
選擇題 (20)
1 已知微分方程式 y′′ +αy ′+ βy= 0的通解為y(x)+c
1
e
-2x
+c
2
e
-3x
,試求 α 及 β 之值,並判定下列何者正確?(題中 α 、β 、c1 及c2 為常數) (A) α +β =- 11 (B) α + β =11 (C) α + β = −5 (D) α + β = 5
2 下列何者可為
之解? (A)y=e
-x2
(B) y=1+e
-x2
(C)y=2+e
-x2
(D) y=3+e
-x2
3 設微分方程式y ′+
a
y=0 , y(0) = y
0
的級數解(series solution)為
,試求常數
a
及 yo之值,並判定下 列何者正確? (A)
a
+yo= 2 (B)
a+yo
= 3 (C)
a+yo
= 4 (D)
a+y
0
= 5
4 下列何者為微分方程式
之通解(其中
)? (A)
,其中 為常數 c (B)
,其中 為常數 c (C)
,其中 為常數 c (D)
,其中 為常數 c
5 函數 f (t) 之拉氏轉換(Laplace transform)為 L{ f (t) },令
,則 f (t) 可能為何? (A)
(B) tsin(3t) (C) tcos(3t) (D) 3 t cos(3t)
6 向量場
在點 P = (-1,0,1)( 的散度(divergence)為何? (A)
(B)
(C) −1 (D) 0
7 假設路徑 C 為一逆時針方向的單位圓| z| =1,試問下列何者不會滿足
?(A)
(B)
(C)f(z)=ze
-z
(D)
8 假設複數 z =x + iy ,則下列那一個複變數函數是屬於全函數(entire function)? (A)
(B)
(C)
(D)
9 令複數
,試問複變數函數
的導數 (derivative) 為何? f '(z) (A)
(B)
(C)
(D)
10 若
,則 ∇ • (fv) −f ∇ • v 為: (A) 0 (B) 3x+6y-2z (C) 6i+18i-12k(D) −6x −18y + 12z
11 下列何者為
之值,其中 C 為一圓 x
2
+y
2
=4(定義為逆時針方向)。 (A)
(B)
(C)
(D) 0
12 有一個矩陣
,以下那一項是錯的? (A)其中一特徵值為 4 (B)有一個特徵向量為 [7 -4 2 ] (C)有一個特徵向量為 [1 0 0 ] (D)其中一特徵值為 3
13 若
,試求 ? (A)
(B)
(C)
(D)
14 設 A 及 B 為任二 n× n 矩陣,且已知 A 為奇異矩陣(singular matrix),則下列敘述何者不恒真? (A)矩陣 AB 為奇異矩陣 (B)矩陣 為奇異矩陣 A
T
(C)矩陣 為奇異矩陣 + BA (D)矩陣 為奇異矩陣(其中 kA k 為一常數)
15 設λ 1 ,..., λ n為矩陣 A 的特徵值,則下列敘述何者不恒真? (A)矩陣 A
T
的特徵值為 − λ
1
,..., − λ
n
(B)矩陣 3A 的特徵值為 3λ
1
,..., 3λ n (C)若矩陣 A
−1
存在,則其特徵值為 1 / λ
1
,..., 1/ λn(D)矩陣 A
2
的特徵值為λ
1
2
,..., λ
2
n
16 設 A 及 B 為任二 × nn 可逆(invertible)矩陣,則下列敘述何者正確? (A) AB=BA (B) )(AB)
-1
=B
-1
A
-1
(C) (A+B)
-1
=A
-1
+B
- 1
(D) (A+B)
2
=A
2
+2 AB +B
2
17 隨機變數 X、Y 之期望值(expected value)
,變異數(variance)Var X = 0.1,Var(Y) = 0.2,則 Var(X+Y) = ? (A) 0.24 (B) 0.64 (C) 0.78 (D) 0.96
18 假設 X 和 Y 為兩個獨立的隨機變數,則下列敘述何者錯誤? (A)隨機變數 XY 的期望值(mean)會滿足
(B)隨機變數 X 和 Y 的協方差(covariance)會滿足
(C)隨機變數Z=X+ Y 的變異數(variance)會滿足
(D)隨機變數Z=X-Y 的變異數(variance)會滿足
19 二維隨機變數 X 與 Y 的聯合機率密度函數(joint probability density function)為
。 求 K 之值為何? (A) 0.5 (B) 1.0 (C) 2.0 (D) 4.0
20 十元錢幣 2 枚,其一擲出後人像向上之機率為
,另一枚則為
。若自此 2 枚錢幣隨機挑選一枚然後擲出 2 次,試 求第 2 次擲出為人像之機率。 (A)
(B)
(C)
(D)
申論題 (6)
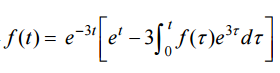
【已刪除】一、利用拉氏轉換(Laplace transform)解
(10 分)
⑴試求此圓錐面於 P
0
點之切平面方程式。(5 分)
⑵試求此切平面通過 P0 點之法線方程式參數表示法。(5 分)
【已刪除】⑶考慮在此圓錐面上之一條曲線
,試求此曲線 C 上任何一點的曲率 κ (t)。(5 分)
【已刪除】三、令右上標T 表示轉置(transpose)、
,若一線性轉換(linear transformation)L相對於基底(basis)E及F(L:E → F)之代表矩陣為
,試 判定L相對於標準基底 R
3
及 R
2
(L:R
3
→ R
2
)之線性轉換函數, L(
) =?(15 分) 3 2 1 ⎥ ⎥ ⎥ ⎦ ⎢ ⎢ ⎢ ⎣x
【已刪除】四、利用留數(residue)觀念,試求
之值。(10 分)
相關試卷
114年 - 114 專技高考_電機工程技師:工程數學(包括線性代數、微分方程、複變函數與機率)#133679
114年 · #133679
114年 - 114 專技高考_電子工程技師:工程數學(包括線性代數、微分方程、向量分析、複變函數與機率)#133677
114年 · #133677
114年 - 114 調查特種考試_三等_電子科學組:工程數學#129578
114年 · #129578
114年 - 114 國家安全情報特種考試_三等_電子組(選試英文):工程數學#127780
114年 · #127780
113年 - 113 專技高考_電子工程技師:工程數學(包括線性代數、微分方程、向量分析、複變函數與機率)#123976
113年 · #123976
113年 - 113 專技高考_電機工程技師:工程數學(包括線性代數、微分方程、複變函數與機率)#123971
113年 · #123971
113年 - 113 調查特種考試_三等_電子科學組:工程數學#122110
113年 · #122110
113年 - 113 身心障礙特種考試_三等_電力工程:工程數學#119517
113年 · #119517
112年 - 112 地方政府特種考試_三等_電力工程、電子工程:工程數學#118376
112年 · #118376
112年 - 112 專技高考_電機工程技師:工程數學(包括線性代數、微分方程、複變函數與機率)#117639
112年 · #117639