阿摩線上測驗
登入
首頁
>
基本電學(概要)
> 100年 - 100 地方政府特種考試_四等_電力工程、電子工程、電信工程:基本電學#45261
100年 - 100 地方政府特種考試_四等_電力工程、電子工程、電信工程:基本電學#45261
科目:
基本電學(概要) |
年份:
100年 |
選擇題數:
0 |
申論題數:
5
試卷資訊
所屬科目:
基本電學(概要)
選擇題 (0)
申論題 (5)
【已刪除】一、如圖⑴,V
s
= 25 V, R
1
= 4Ω , R
2
= 4Ω , R
3
= 15Ω , R
4
= 6Ω , R
5
= 3Ω , R
6
= 6Ω , R
7
= 24Ω ,求 I
1
、 I
2
?(20 分)
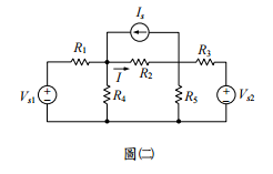
【已刪除】二、如圖⑵,V
s1
= 24 V,V
s 2
= 8 V, I
s
= 1 A, R
1
= 4Ω , R
2
= 2Ω , R
3
= 4Ω , R
4
= 4Ω , R
5
= 4Ω ,利用重疊原理求 I ?(20 分)
【已刪除】三、如圖⑶, R
1
= 5Ω , R
2
= 6Ω , R
3
= 36Ω , R
4
= 3Ω , R
5
= 2Ω , R
6
= 24Ω ,求輸入 阻抗 Z ?(20 分)
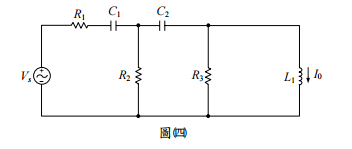
【已刪除】四、如 圖 ⑷ , 交 流 電 源 Vs = 7 cos( 4t ) V , R
1
= 8Ω , R
2
= 6Ω , R
3
= 2Ω , C
1
=
F,
,求穩態電流 I
0
?(20 分)
【已刪除】五、有一個電阻 R = 2Ω 與一個電容 C =
F 串聯,電阻電流為 10 cos(2t ) A,電阻電壓為 V
R
(t ) , 電 容 電 壓 為 V
C
(t ) , 電 容 初 始 電 壓 V
C
(t = 0) = 0 V , 考 慮 串 聯 電 壓 V (t ) = V
R
(t ) + V
C
(t ) ,求V (t ) 的最大值?(20 分)
相關試卷
115年 - 115 關務特種考試_四等_電機工程(選試英文):基本電學#138955
115年 · #138955
115年 - 115-1 臺北市立大安高工教師甄選試題_電子/控制科:基本電學#138451
115年 · #138451
114年 - 114 關務特種考試_四等_電機工程(選試英文):基本電學#126651
114年 · #126651
113年 - 113 關務特種考試_四等_電機工程(選試英文)、電機工程(選試日文):基本電學#119481
113年 · #119481
112年 - 112 地方政府特種考試_四等_電力工程、電子工程、電信工程:基本電學#118330
112年 · #118330
112年 - 112 普通考試_電力工程、電子工程、電信工程:基本電學#115756
112年 · #115756
112年 - 112 關務特種考試_四等_電機工程:基本電學#113949
112年 · #113949
111年 - 111 地方政府特種考試_四等_電力工程、電子工程、電信工程:基本電學#112594
111年 · #112594
111年 - 111 中華郵政股份有限公司_職階人員資產營運及工程類科甄試試題_專業職(一)/電力工程:基本電學#111525
111年 · #111525
111年 - 111 普通考試_電力工程、電子工程、電信工程:基本電學#109349
111年 · #109349