所屬科目:高中指考◆數學乙
2.如圖,平面上五個大小相同的圓圈用四根長度相同的線段連接成十字形,其中任意兩相鄰線段均互相垂直。今欲將其中兩個圓圈著上藍色,其他圓圈著上紅色,並規定在著好色之後將圖形繞十字形的中心旋轉產生的各種著色法均視為同一種,試問共有幾種著色法 ?(A) 3 (B) 6 (C) 10 (D) 20 (E) 32
3.某種疾病有甲、乙、丙三種檢測方法。若受檢者檢測反應為陽性,以符號「 + 」表示,反之則記為「 - 」。一個受檢者接受三種檢測方法呈現之結果共有A1,..., A8八種不同的可能情況,例如事件 A1表示該受檢者以三種方法檢測反應皆為陽性,其餘類推(如下表): 以 P(A1),...,P(A 8 )分別代表事件A1,...,A8發生之機率。請問下列哪些選項是正確的? (A) P (A1∪A2) =P( A1)+P(A2)(B) 以方法乙檢測結果為陽性的機率是P(A1)+P(A2)+P(A4)+P(A6)(C)以方法甲與方法乙檢測,結果一致的機率是P(A1)+P(A2)(D) 以方法甲、乙、丙檢測,結果一致的機率是P(A1 )
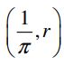
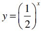
5.設(π,r)為函數 y=log2x圖形上之一點,其中π為圓周率,r為一實數。請問下列哪些選項是正確的?(A) (r,π ) 為函數y = 2x 圖形上之一點 (B) (−r,π )為函數圖形上之一點 (C)為函數圖形上之一點 (D) (r,2π ) 為函數y= 4x 圖形上之一點
6.某校數學複習考有400位同學參加,評分後校方將此400位同學依總分由高到低排序:前 100 人 為 A 組 , 次 100 人 為 B 組,再次100人為C組 , 最後 100 人為D組 。校方進一步逐題分析同學答題情形,將各組在填充第一題(考排列組合)和填充第二題 (考空間概念) 的答對率列表如下: 請選出正確的選項。(A) 第一題答錯的同學,不可能屬於B組 (B) 從第二題答錯的同學中隨機抽出一人,此人屬於 B 組的機率大於 0.5 (C)全體同學第一題的答對率比全體同學第二題的答對率高 15% (D) 從C組同學中隨機抽出一人,此人第 一、二題都答對的機率不可能大於 0.3
A.設f(x)x5-x3+2x2-2x-4,g (x)=x4+x3+x2+3x+2, h(x) 為 f(x)與g(x)的最高公因式且最高次項係數為 1, 則 h(1) 與 h(2)的乘積為__⑦⑧__。
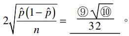
B.為講解信賴區間與信心水準,數學老師請全班40位同學使用老師提供的亂數表模擬投擲均勻銅板16次。模擬的過程如下:隨機指定給每位同學亂數表的某一列,該列從左到右有16個數字;如果數字為 0,1,2,3,4 時,對應投擲銅板得到正面;而數字為 5,6,7,8,9時,對應投擲得到反面。某同學拿到的一列數字依序為:0612 9683 4251 9138該同學計算銅板出現正面的機率在 95%信心水準下的信賴區間 :。則該同學所得到的結果中,。(化為最簡根式)