阿摩線上測驗
登入
首頁
>
作業研究
> 100年 - 100 專技高考_交通工程技師:作業研究#40704
100年 - 100 專技高考_交通工程技師:作業研究#40704
科目:
作業研究 |
年份:
100年 |
選擇題數:
0 |
申論題數:
6
試卷資訊
所屬科目:
作業研究
選擇題 (0)
申論題 (6)
【已刪除】一、假設某工廠生產四種產品 A、B、C、D,每種產品都要經過機器甲、機器乙與機器 丙的加工才能完成,每種產品的機器處理製造時間、機器每小時的使用成本、機器 的可用時間、以及產品每單位的售價如下表所示:
試將此問題構建成一最大利潤目標之線性規劃模式。(15 分)
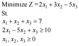
【已刪除】二、試以大 M 法(Big-M Method)求解下列線性規劃模式:(20 分)
⑴請寫出此問題的線性規劃模式。(10 分)
⑵試以匈牙利法(Hungarian Method)求解最小成本的工作指派。(10 分)
【已刪除】四、試求解下列專案計畫網路圖的要徑(Critical Path)。(20 分)
【已刪除】五、請以分枝界限法(Branch and Bound)求解下列整數規劃問題:(25 分)
相關試卷
114年 - 114 地方政府公務特種考試_三等_工業工程:作業研究#134713
114年 · #134713
114年 - 114 專技高考_工業工程技師:作業研究#133680
114年 · #133680
114年 - 114 高等考試_三級_工業工程:作業研究#128750
114年 · #128750
113年 - 113 地方政府公務特種考試_三等_工業工程:作業研究#124521
113年 · #124521
113年 - 113 專技高考_工業工程技師:作業研究#123885
113年 · #123885
113年 - 113 高等考試_三級_工業工程:作業研究#121489
113年 · #121489
112年 - 112 地方政府特種考試_三等_工業工程:作業研究#118325
112年 · #118325
112年 - 112 專技高考_工業工程技師:作業研究#117594
112年 · #117594
112年 - 112 公務升官等考試_薦任_工業工程:作業研究#117328
112年 · #117328
112年 - 112 高等考試_三級_工業工程:作業研究#115450
112年 · #115450