阿摩線上測驗
登入
首頁
>
工程數學(應用數學, 線性代數、微分方程、複變函數與機率)
> 100年 - 100 專技高考_電機工程技師:工程數學(包括線性代數、微分方程、複變函數與機率)#50488
100年 - 100 專技高考_電機工程技師:工程數學(包括線性代數、微分方程、複變函數與機率)#50488
科目:
工程數學(應用數學, 線性代數、微分方程、複變函數與機率) |
年份:
100年 |
選擇題數:
0 |
申論題數:
7
試卷資訊
所屬科目:
工程數學(應用數學, 線性代數、微分方程、複變函數與機率)
選擇題 (0)
申論題 (7)
一、試求解下列微分方程: (2 x
3
+ y
3
)dx − 3 xy
2
dy = 0 。(20 分)
⑴ 1,(每小題 10 分,共 20 分)
⑵x
2
+ y
2
。
【已刪除】三、試求下列矩陣的特徵值(eigenvalues)與特徵向量(eigenvectors):(20 分)
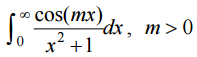
【已刪除】四、試以複變(complex)函數的圍線積分(contour integral)法,求解:(20 分)
⑴聯合機率函數(joint probability function) f ( x, y ) ;
⑵機率 P[( X , Y ) ∈ A] ,而 A 為下列區域: {( x, y ) x + y ≤ 1}。
相關試卷
114年 - 114 專技高考_電機工程技師:工程數學(包括線性代數、微分方程、複變函數與機率)#133679
114年 · #133679
114年 - 114 專技高考_電子工程技師:工程數學(包括線性代數、微分方程、向量分析、複變函數與機率)#133677
114年 · #133677
114年 - 114 調查特種考試_三等_電子科學組:工程數學#129578
114年 · #129578
114年 - 114 國家安全情報特種考試_三等_電子組(選試英文):工程數學#127780
114年 · #127780
113年 - 113 專技高考_電子工程技師:工程數學(包括線性代數、微分方程、向量分析、複變函數與機率)#123976
113年 · #123976
113年 - 113 專技高考_電機工程技師:工程數學(包括線性代數、微分方程、複變函數與機率)#123971
113年 · #123971
113年 - 113 調查特種考試_三等_電子科學組:工程數學#122110
113年 · #122110
113年 - 113 身心障礙特種考試_三等_電力工程:工程數學#119517
113年 · #119517
112年 - 112 地方政府特種考試_三等_電力工程、電子工程:工程數學#118376
112年 · #118376
112年 - 112 專技高考_電機工程技師:工程數學(包括線性代數、微分方程、複變函數與機率)#117639
112年 · #117639