阿摩線上測驗
登入
首頁
>
轉學考-線性代數
> 100年 - 100 淡江大學 轉學考 線性代數#55892
100年 - 100 淡江大學 轉學考 線性代數#55892
科目:
轉學考-線性代數 |
年份:
100年 |
選擇題數:
0 |
申論題數:
11
試卷資訊
所屬科目:
轉學考-線性代數
選擇題 (0)
申論題 (11)
【已刪除】(a)
【已刪除】(b)
【已刪除】(c)
2. Let A, B, and C denote nxn matrices and assume that |A|= 2 ,|5| =-3,|C| = 4. Evaluate |BA
2
C
-1
'|. (|A| denote the determinant of A) (10%)
【已刪除】3. Let A=
(10%) (a) Find A
-l
.
【已刪除】(a)
【已刪除】(b)
【已刪除】(c)
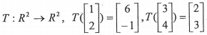
T is the composition of the rotation through followed by the reflection inthe line y = x.
(d) T : R
2
→R
2
, T is the reflection in the line y = 5x.
【已刪除】5 • Let A be a diagonalizable nxn matrix with eigenvalues
(including multiplicities), show that
(20%)
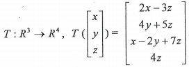
【已刪除】6. Let T : R
6
→ R
4
be a linear transformation defined by
, where
. Find bases for ker(T) and Ran(T). (20%)
相關試卷
105年 - 105年國安三等線性代數#55637
105年 · #55637
104年 - 104 淡江大學 轉學考 線性代數#53183
104年 · #53183
104年 - 104 淡江大學 轉學考 線性代數#53164
104年 · #53164
103年 - 103 淡江大學 轉學考 線性代數#55733
103年 · #55733
102年 - 102 淡江大學 轉學考 線性代數#53129
102年 · #53129
102年 - 102 淡江大學 轉學考 線性代數#53093
102年 · #53093
100年 - 100 淡江大學 轉學考 線性代數#55896
100年 · #55896
95年 - 95 淡江大學 轉學考 線性代數#56041
95年 · #56041
94年 - 94 淡江大學 轉學考 線性代數#56042
94年 · #56042
93年 - 93 淡江大學 轉學考 線性代數#56047
93年 · #56047