阿摩線上測驗
登入
首頁
>
轉學考-線性代數
> 104年 - 104 淡江大學 轉學考 線性代數#53183
104年 - 104 淡江大學 轉學考 線性代數#53183
科目:
轉學考-線性代數 |
年份:
104年 |
選擇題數:
0 |
申論題數:
10
試卷資訊
所屬科目:
轉學考-線性代數
選擇題 (0)
申論題 (10)
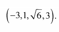
【已刪除】1. Find the a unit vector (單位向量)that is oppositively directed (相反方向)to the vector
2. Show that the vectors v
1
= (l,2,l) , v
2
=(2,9,0), and v
3
=(3,3,4) form a basis for R
3.
【已刪除】3. Show that the matrix A =
- sin 6 cosO 0 is invertible for all value of θ.
4.Ais a 4x4 matrix and its determinat is det(
A) = -2, find det(-A), det(A
-1
), det(2A
T
), det(A
3
),and det((3A)
-1
)
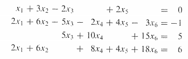
【已刪除】5. Solve by Gauss- Jordan elimination.
【已刪除】6. Find the rank and nullity of the matrix A=
【已刪除】7. Find the eigenvalues of the upper triangular matrix
【已刪除】8.Find bases for the eigenspaces of the matrix
【已刪除】9. Find a matrix P that diagonalizes A=
【已刪除】10. Show that A =
and B =
are not similar matrices.
相關試卷
105年 - 105年國安三等線性代數#55637
105年 · #55637
104年 - 104 淡江大學 轉學考 線性代數#53164
104年 · #53164
103年 - 103 淡江大學 轉學考 線性代數#55733
103年 · #55733
102年 - 102 淡江大學 轉學考 線性代數#53129
102年 · #53129
102年 - 102 淡江大學 轉學考 線性代數#53093
102年 · #53093
100年 - 100 淡江大學 轉學考 線性代數#55896
100年 · #55896
100年 - 100 淡江大學 轉學考 線性代數#55892
100年 · #55892
95年 - 95 淡江大學 轉學考 線性代數#56041
95年 · #56041
94年 - 94 淡江大學 轉學考 線性代數#56042
94年 · #56042
93年 - 93 淡江大學 轉學考 線性代數#56047
93年 · #56047