阿摩線上測驗
登入
首頁
>
轉學考-線性代數
> 104年 - 104 淡江大學 轉學考 線性代數#53164
104年 - 104 淡江大學 轉學考 線性代數#53164
科目:
轉學考-線性代數 |
年份:
104年 |
選擇題數:
0 |
申論題數:
7
試卷資訊
所屬科目:
轉學考-線性代數
選擇題 (0)
申論題 (7)
【已刪除】1. (20 %) Find the characteristic polynomial and the eigenvalues for the 3x3 matrix A
【已刪除】2. (10 %) Find the inverse matrix B
-1
for the 3x3 matrix B=
(1) Find an invertible 3x3 matrix P and a 3 x 3 diagonal matrix D such that P
-1
AP = D.
(2) Calculate A
5
.
【已刪除】4. (20 points) Let
Find
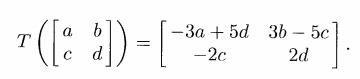
【已刪除】5. (20 points) Let V be the vector space of 2 x 2 matrices, and let T : V V be defined by
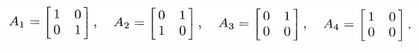
Find the matrix of T with respect to the basis C = {A
1
,A
2
, A
3
, A
4
}, where
6. (10 points) Let T : V → V" be a one-to-one linear transformation and dim(V) = n. Show that T is onto.
相關試卷
105年 - 105年國安三等線性代數#55637
105年 · #55637
104年 - 104 淡江大學 轉學考 線性代數#53183
104年 · #53183
103年 - 103 淡江大學 轉學考 線性代數#55733
103年 · #55733
102年 - 102 淡江大學 轉學考 線性代數#53129
102年 · #53129
102年 - 102 淡江大學 轉學考 線性代數#53093
102年 · #53093
100年 - 100 淡江大學 轉學考 線性代數#55896
100年 · #55896
100年 - 100 淡江大學 轉學考 線性代數#55892
100年 · #55892
95年 - 95 淡江大學 轉學考 線性代數#56041
95年 · #56041
94年 - 94 淡江大學 轉學考 線性代數#56042
94年 · #56042
93年 - 93 淡江大學 轉學考 線性代數#56047
93年 · #56047