所屬科目:國營事業◆1.計算機概論 2.自動控制
(二)求此系統的自然無阻尼頻率(rad/sec)及阻尼比(damping ratio, )。(各3分’共6分)
(二)決定K值為何?會使此閉迴路的極點(poles)有阻尼比(damping ratio,)為0.5。 (5分)
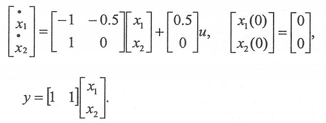
八、有一系統以狀態方程式表示如下: 在時間零時,輸入(r(t)=l,t≧0 )為單位步階(unit-stej))函數,請求其輸出y(t)。 (10 分)
九、一控制系統如下【圖2】所示,若設計之規範為斜坡函數(r(t)= t, t≧0 )輸入時,穩態誤差為| ess | ≦ 0.1 ,且相位邊限至少45° ,請問K、a、b值須為多少?(提示:補償器為領前補償,以相位邊限裕度多5°考慮)(10分)