阿摩線上測驗
登入
首頁
>
機械設計
> 100年 - 100 高等考試_三級_機械工程:機械設計#29563
100年 - 100 高等考試_三級_機械工程:機械設計#29563
科目:
機械設計 |
年份:
100年 |
選擇題數:
0 |
申論題數:
6
試卷資訊
所屬科目:
機械設計
選擇題 (0)
申論題 (6)
一、一根直徑為 25 mm之鋁製傳動軸在 1750 rpm轉速下之傳遞功率為 42.1 kW,若材料 之拉伸降伏強度S
yt
為 160 MPa,而壓縮降伏強度S
yc
為 170 MPa,依據庫倫-莫耳降伏 準則(Coulomb-Mohr yield criterion),請計算此軸之安全係數。(25 分)
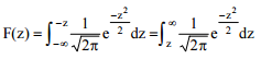
【已刪除】二、考慮 5000 根利用自動車床製造之軸,依據抽樣計算的結果,軸直徑 D 之平均值 (mean)與標準差(standard deviation)分別為 1.250 cm 與 0.002 cm,而軸長度 L 之平均值與標準差分別為 10.00 cm 與 0.016 cm。若每一根產品必須同時滿足 1.245 cm D 1.255 cm ≦ ≦ 與 9.96 cm ≦ L ≦ 10.04 cm 此兩個條件時才算合格,且 D 與 L 此兩因素互不影響,請估算在此批產品中會有幾根廢品?(25 分)(常態分 佈累積機率參考下表)累積機率
⑴若整個系統欲維持平衡,W 之重量範圍應在多少 N 到多少 N 之間?(15 分)
⑵若管件 B 以一緩慢速率逆時針方向旋轉,而管件 A 與 C 仍維持靜止不動,此系 統可升高之最大 W 重量是多少 N?(10 分)
【已刪除】⑴欲滿足設計需求,H 與 X 之關係式為
;(10 分)
⑵此彈簧之彈簧常數k = (EbHo
3
)/(8L
3
),式中,E為材料之楊氏模數(Young’s modulus)。 (15 分)
相關試卷
115年 - 115 身心障礙特種考試_四等_機械工程:機械設計概要#138890
115年 · #138890
115年 - 115 身心障礙特種考試_三等_機械工程:機械設計#138882
115年 · #138882
114年 - 114 地方政府公務特種考試_三等_機械工程:機械設計#134728
114年 · #134728
114年 - 114 地方政府公務特種考試_四等_機械工程:機械設計概要#134719
114年 · #134719
114年 - 114 公務、關務升官等考試_薦任_機械工程、技術類(選試機械設計)-關務:機械設計#133265
114年 · #133265
114年 - 114 交通事業港務升資考試_員級晉高員級_技術類(選試機械設計)-港務:機械設計#133244
114年 · #133244
114年 - 114 高等考試_二級_機械工程:機械設計學#131583
114年 · #131583
114年 - 114 原住民族特種考試_四等_機械工程:機械設計概要#130917
114年 · #130917
114年 - 114 高等考試_三級_機械工程:機械設計#128741
114年 · #128741
114年 - 114 普通考試_機械工程:機械設計概要#128447
114年 · #128447