所屬科目:教甄◆數學
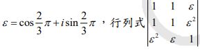
3. 令 A、B 是兩個方陣,下列敘述何者正確? (A) ,c為一個常數 (B) det(A+B)=det( A )+det( B ) (C)其中A T 是 A 的轉置矩陣 (D)以上皆非。
4. 將曲線 , y =1及直線 x = 4所圍區域對 y =1做旋轉所得之旋轉體體積為? (A)(B) (C) (D)2π 。
5. 在單獨一回比賽中,甲、乙兩人各自得勝的機率分別為 。今在連續五回比賽中,最先贏得三回者得勝,則乙得勝之機率為多少? (A) (B) (C) (D) 。
6. 若 O 為ABC 之外心,且,則 H 是△ABC 之 (A)重心 (B)內心 (C)外心 (D)垂心。
7. 如圖, =t,∠CAB = θ ,已知,下列敘述何者正確?
(A)t 為質數(B)t > 15(C)t < 14(D) t2 是被 3 除餘 1 的整數。
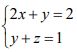
8. 聯立方程式恰有一組解(x , y) = (2 , - 3),則 之解為 (A) (B)(2 , - 3) (C)( - 3 , - 6) (D)( - 6 , - 6)。
10. 橢圓的兩個焦點為F1,F2 ,點P 在橢圓上,設的中點在此橢圓的短軸上,則 的長為 (A)1 (B)3 (C)5 (D)25。
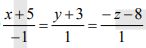
12. 下列哪一直線與平面2x+3y+z-5=0 平行? (A)(B)(C) (D) 。
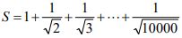
14. 估計的值,則 (A)S ≤100 (B)100< S< 200 (C)200<S<300 (D)300< S< 400。
15. 以 1、2、3 為元素的 4×3 矩陣共有幾個? (A)123 (B) (C) 37 (D)36。
17. 下列哪一個數值最接近? (A) (B) (C)(D)。
18. = - ? (A)(B)(C)(D)
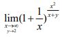
19. =? (A) e (B)0 (C)1 (D)∞
20. 令=? (A)-1 (B)-3 (C)0 (D)1
21. 估算 是幾位數(log 2= 0.3010300, log 7 = 0.8450980 ) (A)46 (B)47 (C)48 (D)49
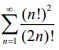
22. 下列級數哪一個不收斂? (A) (B) (C) (D)
23. 被 17 除後,餘數是? (A)0 (B)3 (C)7 (D)11
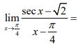
24. 以十進位表示,的最後兩位數是? (A)89 (B)69 (C)49 (D)29
25. 在集合 中有幾個多項式在Z[ x ]中不可分解。 (A)0 (B)1 (C)2 (D)3
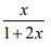
31. 令函數y=x+ ln x(x>0) ,其反函數 x = x (y )的導函數是 (A)(B)(C) (D)
32. 設(A) (B) (C)(D)
33. 有多少個相異的正因數? (A)121 (B)100 (C)144 (D)169
34. 滿足 是整數的所有整數 n 的和為何? (A)0 (B)1 (C)2 (D)3
36. 函數 上的最大值與最小值的差為何? (A)1.5 (B)2 (C)2.5 (D)3
37. 冪級數的收斂半徑為何? (A)∞ (B)0 (C)0.5 (D)1
38. 之值為何? (A) eπ +1 (B) eπ -1(C) (D)
39. 下列那一條是複數平面上某橢圓的方程式? (A)(B) (C) (D)
40. 某班級學生共有 20 人,其中有兩對孿生兄弟,今隨機分為 10 組,每組 2 人。至少有其中一對孿生兄弟分配在同一組的機率 為何? (A) (B) (C) (D)
41.△ABC 中, = 3,∠B = 60°,則△ABC 面積是多少單位? (A) (B) (C)(D)
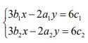
43. 考慮方程Ax = b ,其中 A 為一個二階方陣。當 ,方程有解 時,方程的解為何? (A) (B)(C) (D)
45. 求所有實數 m 使得方程式 有兩相異實根。 (A)0<m<0.1 (B)-0.5<m<0.1 (C)-0.1<m<0.1 (D)-0.5<m<0
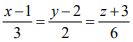
46. 三維空間平面x+2y=5的法向量與直線的夾角餘弦值為何?(A) (B)(C) (D)
47. 求滿足下列性質的整數 n 的個數:(1) n 除以 3 餘 1 或 n 除以 5 餘 3; (2) |n |≤50 。 (A)46 (B)47 (C)52 (D)54
48. 下列關於定義在實數上的實數值可微函數的敘述何者為錯誤? (A)若 f ( x )為嚴格遞增,則 f' >(x)> 0(B)若 f'(x) > 0 ,則 f ( x ) 為嚴格遞增 (C)若 f (x) 為嚴格遞增且有界,則存在 (D)若 f (x ) 為嚴格遞增且 存在,則 f (x) 有界。
50. 過點(5,1)對圓x2+y2-2x+4y=0 的兩切線切圓於點 A、B。求 。 (A)2 (B) (C) (D)4