阿摩線上測驗
登入
首頁
>
化學反應工程學
> 101年 - 101 地方政府特種考試_三等_化學工程:化學反應工程學#26550
101年 - 101 地方政府特種考試_三等_化學工程:化學反應工程學#26550
科目:
化學反應工程學 |
年份:
101年 |
選擇題數:
0 |
申論題數:
10
試卷資訊
所屬科目:
化學反應工程學
選擇題 (0)
申論題 (10)
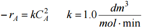
⑴若反應速率為−r
A=
kC
A k=0.2min
-1
,請計算消耗80% A 要多少時間t
f
(min)。
【已刪除】⑵若反應速率為
,請計算消耗 80% A 要多少時間t
f
。
⑶當時間t=t
f
時,反應混合物降溫到 150℃,請計算反應器內反應混合物之壓力p
f
(atm)。
【已刪除】二、氣相反應A R +→ S 在一恆溫連續攪拌槽反應器(continuous stirred-tank reactor / CSTR) 中進行。若反應速率為
。反應器進料濃度
,進料體 積流率為
;CSTR 內反應混合物體積 V 。請以下表之數據求出k 與α 之值。 (20 分)
【已刪除】三、為了要年產量200×10
6
磅(pounds)乙烯,在柱塞流反應器(plug flow reactor/ PFR) 以純乙烷為進料進行恆溫(900℃)恆壓(6 atm)裂解反應。本反應為不可逆之基 本反應(elementary reaction),其反應速率常數
(T = 800℃)。本反應 之活化能
。若反應器出口乙烷轉化率為 70%時, 此柱塞流反應器體積要多大(V
PFR
=?)(20 分)
⑴請作出平衡轉化率 X
e
對溫度T 之關係圖(請以 5 個點作圖)。
⑵若反應在批式反應器(Batch Reactor / BR)以恆溫操作,要達到平衡轉化率高於 75%之溫度為何(反應溫度在幾℃以上(或以下))?
⑶請計算 T = 60℃時在批式反應器(Batch Reactor/BR)之平衡轉化率 X
e
。
⑷請計算 T = 60℃時在柱塞流反應器(plug flow reactor/PFR)之平衡轉化率 X
e
。
【已刪除】五、在一半批式反應器(Semibatch Reactor)中進行液相多重反應:
反應器在開始時注入體積V
0
的 A 成分,並以 B 成分莫耳流率
緩緩注入 反應器中進行半批式反應。 v
o
為體積流率, C
BO
為進料濃度。請推導出本半批式反 應器系統描述
之動態系統公式及其起始條件。 (20 分)
相關試卷
114年 - 114 專技高考_化學工程技師:化學反應工程(亦稱化工動力學)#133683
114年 · #133683
114年 - 114 公務升官等考試_薦任_化學工程:化學反應工程學#133272
114年 · #133272
113年 - 113 專技高考_化學工程技師:化學反應工程(亦稱化工動力學)#123888
113年 · #123888
112年 - 112 地方政府特種考試_三等_化學工程:化學反應工程學#118337
112年 · #118337
112年 - 112 專技高考_化學工程技師:化學反應工程(亦稱化工動力學)#117641
112年 · #117641
112年 - 112 公務升官等考試_薦任_化學工程:化學反應工程學#117353
112年 · #117353
112年 - 112 高等考試_三級_化學工程:化學反應工程學#115757
112年 · #115757
111年 - 111 專技高考_化學工程技師:化學反應工程(亦稱化工動力學)#111956
111年 · #111956
111年 - 111 高等考試_二級_化學工程:高等化學反應工程學#111040
111年 · #111040
111年 - 111 高等考試_三級_化學工程:化學反應工程學#109726
111年 · #109726