阿摩線上測驗
登入
首頁
>
化學反應工程學
> 112年 - 112 地方政府特種考試_三等_化學工程:化學反應工程學#118337
112年 - 112 地方政府特種考試_三等_化學工程:化學反應工程學#118337
科目:
化學反應工程學 |
年份:
112年 |
選擇題數:
0 |
申論題數:
14
試卷資訊
所屬科目:
化學反應工程學
選擇題 (0)
申論題 (14)
(一)以絕熱栓狀流反應器(plug flow reactor)進行可逆氣相放熱反應時, 轉化率可能會很低,請解釋原因。舉兩種可提高轉化率的方法,並說明理由。需要的話可以用簡圖說明,無文字說明的圖不給分。 (10 分)
(二)有一反應系統中,含有 A、B、C 三種物質。A 與 B 之間可達平衡, 平衡常數為 1;B 反應成 C 為不可逆反應,其反應速率常數等於 A 反 應成 B 的反應速率常數。根據以下起始條件,請繪製三種物質的濃度隨反應時間而變化的曲線。 (10 分)
1.只有 A,沒有 B 或 C。
2.只有 B,沒有 A 或 C。
3.只有 C,沒有 A 或 B。
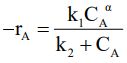
二、反應物 A 反應時,反應速率(-r
A
)與濃度(C
A
)關係如下:
若反應速率可以下式表示:
求式中的各常數 k
1
, k
2
與 α 。(20 分)
(一)相同大小的兩個連續攪拌槽反應器,串聯操作。
(二)相同大小的兩個連續攪拌槽反應器,並聯操作。
(三)相同大小的兩個栓狀流反應器,串聯操作。
(四)相同大小的兩個栓狀流反應器,並聯操作。
(一)若分解速率為 50 gmole/min 時,試求所需的最小反應器體積。(10 分)
(二)承(一)小題,若進料濃度 C
A0
= 1 gmole/liter ,轉化率為何?(5 分)
(三)承(二)小題,若改用栓狀流反應器(Plug flow reactor),反應器體積為何?(5 分)
(一)步驟⑴為反應速率決定步驟(Rate determining step, rds)。(6 分)
(二)步驟⑵為反應速率決定步驟。(6 分)
(三)詳述推導過程中所採假設的理由。 (4 分)
(四)何步驟為反應決定步驟時,C 的濃度會影響反應速率?如果要達高轉化率,應如何操作?(4 分)
相關試卷
114年 - 114 專技高考_化學工程技師:化學反應工程(亦稱化工動力學)#133683
114年 · #133683
114年 - 114 公務升官等考試_薦任_化學工程:化學反應工程學#133272
114年 · #133272
113年 - 113 專技高考_化學工程技師:化學反應工程(亦稱化工動力學)#123888
113年 · #123888
112年 - 112 專技高考_化學工程技師:化學反應工程(亦稱化工動力學)#117641
112年 · #117641
112年 - 112 公務升官等考試_薦任_化學工程:化學反應工程學#117353
112年 · #117353
112年 - 112 高等考試_三級_化學工程:化學反應工程學#115757
112年 · #115757
111年 - 111 專技高考_化學工程技師:化學反應工程(亦稱化工動力學)#111956
111年 · #111956
111年 - 111 高等考試_二級_化學工程:高等化學反應工程學#111040
111年 · #111040
111年 - 111 高等考試_三級_化學工程:化學反應工程學#109726
111年 · #109726
110年 - 110 地方政府特種考試_三等_化學工程:化學反應工程學#104645
110年 · #104645