題組內容
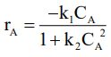
四、溶在液相中的某一染料 A 在連續攪拌槽反應器(continuous stirred tank reactor)裡進行分解反應,分解速率與濃度的關係為:
其中 k1 = 4.0 min -1 , k2= 9.0 liter 2 /gmole 2 。
(一)若分解速率為 50 gmole/min 時,試求所需的最小反應器體積。(10 分)
(二)承(一)小題,若進料濃度 CA0= 1 gmole/liter ,轉化率為何?(5 分)
四、溶在液相中的某一染料 A 在連續攪拌槽反應器(continuous stirred tank reactor)裡進行分解反應,分解速率與濃度的關係為:
其中 k1 = 4.0 min -1 , k2= 9.0 liter 2 /gmole 2 。
(一)若分解速率為 50 gmole/min 時,試求所需的最小反應器體積。(10 分)
(二)承(一)小題,若進料濃度 CA0= 1 gmole/liter ,轉化率為何?(5 分)