阿摩線上測驗
登入
首頁
>
工程數學(應用數學, 線性代數、微分方程、複變函數與機率)
> 101年 - 101 專技高考_電機工程技師:工程數學(包括線性代數、微分方程、複變函數與機率)#26450
101年 - 101 專技高考_電機工程技師:工程數學(包括線性代數、微分方程、複變函數與機率)#26450
科目:
工程數學(應用數學, 線性代數、微分方程、複變函數與機率) |
年份:
101年 |
選擇題數:
0 |
申論題數:
5
試卷資訊
所屬科目:
工程數學(應用數學, 線性代數、微分方程、複變函數與機率)
選擇題 (0)
申論題 (5)
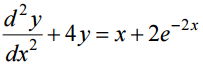
【已刪除】一、求微分方程式
的通解。(20 分)
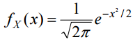
【已刪除】二、隨機變數(random variable) X 的機率密度函數(probability density function)為
。求
的變異值(variance)。(20 分)
【已刪除】三、求
矩陣 的特徵值(eigenvalues)與 3 個線性獨立(linearly independent) 的特徵向量(eigenvectors)。這些特徵向量是否互相正交(orthogonal)?(20 分)
【已刪除】四、計算線積分
,其中 i, j分別是 x 軸與 y 軸的單位向量。(20 分)
【已刪除】五、已知Re( z) 是 z 的實部(real part)。當z ≠ 0時,複變函數
是否可以微 分?如果可以微分,求出
。(20 分)
相關試卷
114年 - 114 專技高考_電機工程技師:工程數學(包括線性代數、微分方程、複變函數與機率)#133679
114年 · #133679
114年 - 114 專技高考_電子工程技師:工程數學(包括線性代數、微分方程、向量分析、複變函數與機率)#133677
114年 · #133677
114年 - 114 調查特種考試_三等_電子科學組:工程數學#129578
114年 · #129578
114年 - 114 國家安全情報特種考試_三等_電子組(選試英文):工程數學#127780
114年 · #127780
113年 - 113 專技高考_電子工程技師:工程數學(包括線性代數、微分方程、向量分析、複變函數與機率)#123976
113年 · #123976
113年 - 113 專技高考_電機工程技師:工程數學(包括線性代數、微分方程、複變函數與機率)#123971
113年 · #123971
113年 - 113 調查特種考試_三等_電子科學組:工程數學#122110
113年 · #122110
113年 - 113 身心障礙特種考試_三等_電力工程:工程數學#119517
113年 · #119517
112年 - 112 地方政府特種考試_三等_電力工程、電子工程:工程數學#118376
112年 · #118376
112年 - 112 專技高考_電機工程技師:工程數學(包括線性代數、微分方程、複變函數與機率)#117639
112年 · #117639