阿摩線上測驗
登入
首頁
>
工程數學(應用數學, 線性代數、微分方程、複變函數與機率)
> 101年 - 101 高等考試_三級_電力工程、電子工程、電信工程:工程數學#29540
101年 - 101 高等考試_三級_電力工程、電子工程、電信工程:工程數學#29540
科目:
工程數學(應用數學, 線性代數、微分方程、複變函數與機率) |
年份:
101年 |
選擇題數:
20 |
申論題數:
7
試卷資訊
所屬科目:
工程數學(應用數學, 線性代數、微分方程、複變函數與機率)
選擇題 (20)
1 解微分方程式y ′′ − 2'y=0 ;其中初值 y (0)= −3,
0 。 (A) y=-3e' cos t (B) y= − 3cos t (C) y=-3e
-1
−t cos t (D) y= − 3sin t
2 下列何者可為微分方程式
之積分因子? (A)x
2
(B)y
2
(C)xy (D)1/xy
複選題
3 已知
,求出
之值,其中S:x
2
+ 4y
2
=4 ,x≥0 ,y ≥ 0 , 0≤2z≤ b 。(一律給分) (A)2πb
3
(B)
πb
3
(C)
πb
2
(D)
πb
3
4 令
為一常數向量,
,則
等於多少? (A) 0 (B)
(C)
(D)
5 橢圓 x2 +4(y-1)
2
=4 在點
的切線為何? (A)
(B)
(C)
(D)
6 若
,請求出 ?A
3
-7A
2
+11A-4AI (A) 0 (B) I(單位矩陣 identity matrix) (C) A (D)
7 試問二次式(quadratic form): 4x
1
2
-4x
2
2
+6x
1
x
2
=8在 (x
1
,x
2)-
平面上是那一種曲線? (A)圓(circle) (B)橢圓(ellipse) (C)雙曲線(hyperbola) (D)拋物線(parabola)
8 設x
1
,x
2
, x
3
為下列聯立方程組之解,
則 x
1
+x
2
+x
3
等於多少? (A)-1 (B) 4(C)
(D)
9 試求函數
的反拉普拉斯轉換(inverse Laplace transform)。 (A)
(sin t+tcost) (B)
(sin t+tcost) (C)
(tcost+sin t) (D)
(tcost+sin t)
10
,下列何者為 的拉普拉斯轉換 ? (A)
(B)
(C)
(D)
11 反拉普拉斯轉換
等於下列何者? (A) sin2(t-1) (B)e' cos(2t) (C) e
-1
cos(2t) (D)
sin( 2t)
12 有一函數 f(x)=x + π ,其中 -π
(B)f(x)=
(C)f(x)=
(D)f(x)=
13 利用傅立葉級數的觀念求出等式
中cn 的值,其中δ (t) 為 Dirac delta 函數,T 是固定的週期。 (A)
(B)
(C)
(D)
14 定義函數 tf )( 的傅立葉轉換(Fourier transform)為
,其中
。求 f(t)sin(ω0
t
) 的傅立葉轉換為何? (A)
(B)
(C)
(D)
15 級數
的收斂半徑(radius of convergence)為何? (A) 1/10 (B) 1/5 (C)
(D) 10
16 求 ∫ sin(3z)cos(3z)dz? (A)
sin
2
3z+ c (B) sin
2
3z + c(C)6sin
2
3
z + c(D) 3sin
2
3z + c
17 求
= ? (A)α
z
(B) α
z
lnα (C)lnα (D)α
z
/lnα
18 極座標之二維位能函數(potential function) u( r,θ ),( 滿足 Laplace’s 方程式
,若 u 與θ 無關,亦即 = ruu )( ,則下列何者可能為其解? (A)
(B)u = ln r (C) u= e
−r
(D)u= re
−r
19 給定一個隨機變數 X,已知期望值(mean) E[X ] = 2 ,E [ X(X −4) ]= 5 ,則 12 -4X 的變異值(variance)為何? (A) 4 (B) 13 (C) 17 (D) 144
20 給定一個連續隨機變數 X,它的機率密度函數為 ,
。則 X
3
的期望值(mean)為何? (A) 0 (B) 3 (C) 25 (D) 50
申論題 (7)
⑴ f (x) 定義於[−π ,π ]的傅立葉級數(Fourier series)(9 分)
【已刪除】⑵
(3 分)
【已刪除】⑶
(3 分)
【已刪除】⑴若λ是一個非奇異(nonsingular)矩陣 A 的特徵值(eigenvalue),X 是λ對應的特徵向 量(eigenvector),請證明
及 X 分別是 A
−1
的特徵值及其對應的特徵向量。(10 分)
【已刪除】⑵若A=
,請用其最大的特徵值驗證⑴的結果。(5 分)
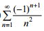
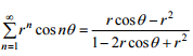
【已刪除】三、藉由考慮級數
收斂性,證明
, 0< r <1。 (10 分)
四、解(1+x
2
)(dy-dx)=(2
xydx
條件為 y(0) =1。(10 分)
相關試卷
114年 - 114 專技高考_電機工程技師:工程數學(包括線性代數、微分方程、複變函數與機率)#133679
114年 · #133679
114年 - 114 專技高考_電子工程技師:工程數學(包括線性代數、微分方程、向量分析、複變函數與機率)#133677
114年 · #133677
114年 - 114 調查特種考試_三等_電子科學組:工程數學#129578
114年 · #129578
114年 - 114 國家安全情報特種考試_三等_電子組(選試英文):工程數學#127780
114年 · #127780
113年 - 113 專技高考_電子工程技師:工程數學(包括線性代數、微分方程、向量分析、複變函數與機率)#123976
113年 · #123976
113年 - 113 專技高考_電機工程技師:工程數學(包括線性代數、微分方程、複變函數與機率)#123971
113年 · #123971
113年 - 113 調查特種考試_三等_電子科學組:工程數學#122110
113年 · #122110
113年 - 113 身心障礙特種考試_三等_電力工程:工程數學#119517
113年 · #119517
112年 - 112 地方政府特種考試_三等_電力工程、電子工程:工程數學#118376
112年 · #118376
112年 - 112 專技高考_電機工程技師:工程數學(包括線性代數、微分方程、複變函數與機率)#117639
112年 · #117639