阿摩線上測驗
登入
首頁
>
工程數學(應用數學, 線性代數、微分方程、複變函數與機率)
> 101年 - 101 高等考試_二級_醫學工程:工程數學#26443
101年 - 101 高等考試_二級_醫學工程:工程數學#26443
科目:
工程數學(應用數學, 線性代數、微分方程、複變函數與機率) |
年份:
101年 |
選擇題數:
0 |
申論題數:
6
試卷資訊
所屬科目:
工程數學(應用數學, 線性代數、微分方程、複變函數與機率)
選擇題 (0)
申論題 (6)
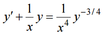
【已刪除】一、請求出下列一階微分方程的解。(15 分)
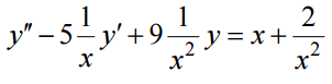
【已刪除】二、請求出下列二階微分方程的解。(15 分)
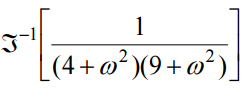
【已刪除】三、請求出下列的逆富利葉轉換(Inverse Fourier Transform)。(15 分)
【已刪除】四、求下列之複數積分。(15 分)
其中γ 是圓中心在−3i,半徑為 2 的圓,亦即圓
。
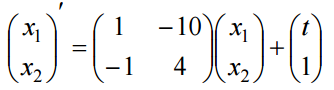
【已刪除】五、請求出下列聯立微分方程的解。(20 分)
【已刪除】六、假設人的前十字韌帶可視為一均勻圓柱狀、長度為 L,在時間為零時受到一力的拉 伸,韌帶的運動可以用下列的偏微分方程表示;其中,c
2
= E / δ ,而 E 為韌帶的彈 性係數、δ 為單位體積的質量。請求出韌帶的位移 y 隨時間 t 及 x 軸的變化。(20 分)
相關試卷
114年 - 114 專技高考_電機工程技師:工程數學(包括線性代數、微分方程、複變函數與機率)#133679
114年 · #133679
114年 - 114 專技高考_電子工程技師:工程數學(包括線性代數、微分方程、向量分析、複變函數與機率)#133677
114年 · #133677
114年 - 114 調查特種考試_三等_電子科學組:工程數學#129578
114年 · #129578
114年 - 114 國家安全情報特種考試_三等_電子組(選試英文):工程數學#127780
114年 · #127780
113年 - 113 專技高考_電子工程技師:工程數學(包括線性代數、微分方程、向量分析、複變函數與機率)#123976
113年 · #123976
113年 - 113 專技高考_電機工程技師:工程數學(包括線性代數、微分方程、複變函數與機率)#123971
113年 · #123971
113年 - 113 調查特種考試_三等_電子科學組:工程數學#122110
113年 · #122110
113年 - 113 身心障礙特種考試_三等_電力工程:工程數學#119517
113年 · #119517
112年 - 112 地方政府特種考試_三等_電力工程、電子工程:工程數學#118376
112年 · #118376
112年 - 112 專技高考_電機工程技師:工程數學(包括線性代數、微分方程、複變函數與機率)#117639
112年 · #117639