阿摩線上測驗
登入
首頁
>
船用電機與自動控制(概要)
> 102年 - 交通部102年第二次航海人員測驗 一等管輪#16484
102年 - 交通部102年第二次航海人員測驗 一等管輪#16484
科目:
船用電機與自動控制(概要) |
年份:
102年 |
選擇題數:
40 |
申論題數:
0
試卷資訊
所屬科目:
船用電機與自動控制(概要)
選擇題 (40)
1.三相感應電動機的同步轉速指的是下列何項轉速? (A)轉子的轉速 (B)額定的轉速 (C)機械負載的轉速 (D)旋轉磁場的轉速
2.若三相感應電動機啟動時間較長,加上負載後轉速明顯下降,電流顯著增加,其可能的原因為何? (A)電源電壓過低 (B)電源頻率過高 (C)定子某相繞組斷路 (D)電源缺相
3.在單相感應電動機啟動繞組上串聯電容的主要目的為何? (A)提高電動機的過載能力 (B)提高電動機的功率因數 (C)獲得與激磁繞組相位差90˚的電流 (D)改善電動機的工作性能
4.關於同步發電機的電樞反應,下列敘述何者正確? (A)不論發電機帶何種負載,電樞反應的結果都將使發電機端電壓下降 (B)電樞反應會引起發電機端電壓的變化,但當端電壓保持不變時,電樞反應也就不存在了 (C)只有當發電機接上負載後才有電樞反應 (D)電樞反應是發電機所固有的,與負載性質無關
5.負回授控制系統中,誤差(Error)的定義為: (A)量測值加上干擾值 (B)量測值減去干擾值 (C)量測值減去設定值 (D)設定值減去量測值
6.柴油引擎的轉速控制系統中,受控之作業單元(Controlled processing unit)是指: (A)柴油機 (B)轉速量測單元 (C)調速器 (D)燃油噴射泵浦的油量調節機構
7.熱電耦之工作原理是將溫度變化轉換為: (A)電壓變化 (B)元件之彎曲變異量 (C)電阻變化 (D)磁場變化
8.在微型計算機的CPU中,控制器包括: (A)堆棧指示器SP (B)存貯器 (C)堆棧區 (D)累加器A
9.緊急發電機配電盤不需要設置下列何項儀錶? (A)電流錶 (B)電壓錶 (C)功率錶 (D)同步錶
10.下列何者為一般大型低速柴油機的換向方式? (A)利用離合器反轉 (B)利用反轉齒輪進行反轉 (C)直接反轉 (D)可變螺距控制
11.航行中進行船橋遙控系統與機艙遙控系統操控位置的切換,需將下列何信號調整一致方能切換? (A)轉數的電壓信號 (B)轉數的電流信號 (C)轉數的電阻信號 (D)轉數的回授信號
12.由並激式直流發電機的外部特性可知,當負載增加時,其輸出電壓有何變化? (A)增加 (B)減少 (C)不一定 (D)沒有變化
13.關於OR邏輯閘,下列那一結果是錯的? (A)A+ B = B + A (B)0 + 1 = 1 (C)A + 1 = A (D)1 + 1 = 1
14.關於多個電阻的並聯,下列說法正確的是: (A)總等效電阻值一定比並聯電阻中阻值最小的電阻值稍大一點 (B)總等效電阻值一定比並聯電阻中阻值最小的電阻還要小 (C)總等效電阻值一定介於並聯電阻中最大電阻值與最小的電阻值之間 (D)總等效電阻值會比並聯電阻中最大的電阻值稍大一點
15.交流電器的鐵心通常採用矽鋼片疊壓而成,其主要目的是: (A)減少渦流損失 (B)減少磁滯損失 (C)增大剩磁 (D)增大磁通量
16.目前我國船舶電力系統中,所使用的額定頻率為多少Hz? (A)50 (B)55 (C)60 (D)65
17.一般發電機出力,以多少負荷為其最大出力? (A)60~69﹪ (B)70~75﹪ (C)80~90﹪ (D)95~100﹪
18.鉛蓄電池存放於電瓶間,除保持各電瓶上通氣孔的暢通外,另外須注意電瓶間的通風良好,主要的 目的在於: (A)防止漏電事故 (B)防止電池的硫化 (C)防止易燃氣的爆炸 (D)防止過熱爆炸
19.下列何者由緊急配電盤供電? (A)緊急滅火泵 (B)錨機 (C)主海水泵 (D)淡水泵
20.下列何種起動方法不適用於鼠籠式感應電動機的起動? (A)自耦變壓器降壓起動 (B)轉子電路串聯電阻起動 (C)直接起動 (D)Y-Δ降壓起動
21.同步發電機主磁場的轉速與電樞反應磁場的轉速有何關係? (A)主磁場的轉速大於電樞反應磁場的轉速 (B)主磁場的轉速小於電樞反應磁場的轉速 (C)兩者相等 (D)視負載性質而定
22.在橋式整流電路中,若有一顆二極體發生斷路,整流電路會出現: (A)波形失真 (B)退化成為半波整流 (C)電源發生短路現象 (D)輸出電壓上升,燒壞負載
23.若系統的輸出為y,設定值為yset,最大反應輸出為ymax,則超射量百分比(Percent of overshoot)的定義為: (A)(yset - ymax) / yset × 100% (B)(yset - ymax) / ymax × 100% (C)(ymax - yset) / yset × 100% (D)(ymax - yset) / ymax × 100%
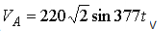
24. 設三相發電機的三相繞組接成Y形,若相電壓
,則線電壓
為:
25.為了監視匯流排的絕緣,主配電板上設有絕緣指示燈,正常時這三盞燈如何顯示? (A)全不亮 (B)一燈亮 (C)二燈亮 (D)一樣亮
26.從最低穩定轉速到最高轉速的全部運轉範圍內,均能自動調節油量以保持任一設定轉速不變的調速 器,稱為何種調速器? (A)限速調速器 (B)定速調速器 (C)雙制調速器 (D)全制式調速器
27.發電機的逆功率繼電器、電壓錶、電流錶等裝置,一般裝設於何處? (A)供電盤 (B)控制盤 (C)並聯盤 (D)匯流排
28.直流電動機的導體運動方向是以何種定則判定? (A)佛萊銘左手定則 (B)佛萊銘右手定則 (C)安培左手定則 (D)安培右手定則
29.下列的檢出裝置中,何者不是利用機械的位移變量轉化成電氣信號? (A)差動電容式壓力計 (B)比壓器(PT) (C)振盪式壓力計 (D)電位計式位置檢出計
30.電阻式應變計(Strain gauge)係利用金屬導線之電阻值變化以測量應變量,下列計器何者不是該元 件之應用領域? (A)位置檢出計 (B)壓力計器 (C)煙濃度指示器 (D)流量計
31. 在下圖中,其電流I值應為多少?
(A)3.5 mA (B)4 mA (C)4.5 mA (D)5 mA
32.下列何者不是經常用於控制系統之測試訊號(Test signal)? (A)步階訊號(Step signal) (B)指數訊號(Exponential signal) (C)斜坡訊號(Ramp signal) (D)正弦波訊號(Sinusoidal signal)
33.10位元D/A轉換器較8位元D/A轉換器輸出訊號之解析度約大幾倍? (A)一倍 (B)二倍 (C)四倍 (D)八倍
34.x*(x+x’+y)可化簡為下列何式子?(其中x’表示x之補數,*表示AND,+表示OR)。 (A)xy (B)x+y (C)x (D)y
35.依機器製造廠所建議的保養週期而作之保養,為目前大部分船舶所採用的方式為: (A)預防性保養(Preventive maintenance) (B)修正性保養(Corrective maintenance) (C)依情況保養(Condition-based maintenance) (D)反應式保養(Reaction-based maintenance)
36.測量溫度最常用的電阻式溫度計,其材料為下列何種? (A)白金(Platinum) (B)黃金(Gold) (C)銅(Copper) (D)鐵(Iron)
37.機艙監視系統量測的訊號中,用以顯示裝置或設備是在使用或停止狀態的ON-OFF訊號,稱為: (A)數位訊號 (B)類比訊號 (C)連續訊號 (D)閃爍訊號
38.客船的緊急電源系統,按CR驗船協會規定,必須對安全上之重要設備至少連續供電多少小時? (A)30 (B)36 (C)42 (D)48
39.鋼質商船的AC主配電盤若發生頻率波動,按CR驗船協會規範,其“永久變動率”應於何範圍內? (A)-3%,+3% (B)-5%,+3% (C)-5%,+5% (D)-3%,+5%
40.當主機在正俥運轉時施以緊急倒俥,其控制系統將自動執行下列何種順序? (A)停油→換向→制動→倒俥起動→倒俥加速 (B)停油→制動→換向→倒俥起動→倒俥加速 (C)制動→停油→換向→倒俥起動→倒俥加速 (D)制動→換向→停油→倒俥起動→倒俥加速
申論題 (0)
相關試卷
115年 - 115年第一次航海人員測驗【602】二等管輪【000022】船用電機與自動控制概要#138328
115年 · #138328
115年 - 115-1 航海人員測驗 _ 一等管輪:船用電機與自動控制#137837
115年 · #137837
114年 - 114-4 航海人員測驗_二等管輪:船用電機與自動控制概要#133727
114年 · #133727
114年 - 114-4 航海人員測驗 _ 一等管輪:船用電機與自動控制#133524
114年 · #133524
114年 - 114-3 航海人員測驗_一等管輪:船用電機與自動控制概要#130590
114年 · #130590
114年 - 114-3 航海人員測驗_二等管輪:船用電機與自動控制概要#130417
114年 · #130417
114年 - 114 海岸巡防特種考試_三等_海洋巡護科輪機組:船用電機與自動控制#129555
114年 · #129555
114年 - [無官方正解]114-2 航海人員測驗_二等管輪:船用電機與自動控制概要#128256
114年 · #128256
114年 - 114-2 航海人員測驗_一等管輪:船用電機與自動控制#127546
114年 · #127546
114年 - 114-1 航海人員測驗_二等管輪:船用電機與自動控制概要#125848
114年 · #125848