阿摩線上測驗
登入
首頁
>
工程數學(應用數學, 線性代數、微分方程、複變函數與機率)
> 102年 - 102 國家安全情報特種考試_三等_電子組:工程數學#35867
102年 - 102 國家安全情報特種考試_三等_電子組:工程數學#35867
科目:
工程數學(應用數學, 線性代數、微分方程、複變函數與機率) |
年份:
102年 |
選擇題數:
20 |
申論題數:
6
試卷資訊
所屬科目:
工程數學(應用數學, 線性代數、微分方程、複變函數與機率)
選擇題 (20)
1 假設關係式
=1成立,試求出
? (A)
(B)
(C)
(D)
2 令u = [1, 2, − 4 ] , v = [ 2,1,1 ]為兩個三維向量,則下列計算何者為錯誤? (A)u • v = 0 (B)u × v = [6, − 9, − 3 ] (C)(u + v) • (u × v) = 0 (D)(u × v) • (v × u) = 0
3 一曲線的位置向量為 F(t) = cos(t)
i
+ sin(t)
j
+ t
k
, −π ≦t ≦π ,則此曲線長度為何? (A) 2
(B)3
(C) 2
(D)3
4 函數ϕ(x, y, z) = xy − yz + xyz 在點 P = (0,1,1)最陡變化方向(gradient)為何? (A)i − 2j − k (B) − i + 2j − k (C) 2i + j + k (D) 2i − j − k
5 矩陣 A 之特徵值(eigenvalue)為 5 與 10,而相對應之特徵向量(eigenvector)分別為
,試求 detA: (A) 45 (B) 50 (C) 55 (D) 60
6 請選出解空間(solution space)相異於其他選項之線性系統。 (A) x
1
+ x
2
+ x
3
= 3− 2x
1
− x
2
+ 4x
3
=1 (B) 2x
1
+ 2x
2
+ 2x
3
= 6 − 2x
1
− x
2
+ 4x
3
=1 (C)3x
1
+ 3x
2
+ 3x
3
= 9 x
2
+ 6x
3
= 7 (D) x1 + x2 + x3 = 3 2x
1
+ 2x
2
+ 2x
3
= 6
7 設 A, B 皆為3×3矩陣,且行列式 |A | = 2 , |B | = 4 ,求 | 3AB | =? (A) 8 (B) 24 (C) 72 (D) 216
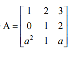
8 令矩陣
,試問矩陣 AB
−1
的行列式值(determinant)det(AB ) −1 為何? (A) 0 (B) 29 (C) 55 (D) 78
9 滿足 |z −1− i |=1的 z 值在複數平面的圖形為何? (A)橢圓形 (B)圓形 (C)雙曲線 (D)直線
10 下列選項何者正確,其中
: (A)cos(3+ 2i) = cos(3) cos(2) − isin(3)sin(2) (B)cos(3+ 2i) = cos(3) cos(2) + isin(3)sin(2) (C)cos(3+ 2i) = cos(3) cosh(2) − isin(3)sinh(2) (D)cos(3+ 2i) = cos(3) cosh(2) + isin(3)sinh(2)
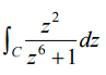
11 假設 C 為沿著逆時針方向繞圓周 z = 1,試求積分
為何? (A) 0 (B) 1 (C)π (D)
12 級數
之收斂半徑 R 之值為何? (A)
(B)
(C)
(D) 1
13 下列何者為方程式
之解? (A)u = f (x − 4y) (B)u = f (x + 4y) (C)u = f (4x − y) (D)u = f (4x + y)
14 利用 Frobenius 級數
的方法解微分方程式
,下列何者為本方 法的 indicial 方程式? (A) r2 −1 =0 (B) r(r +1) = 0 (C)(r- 1)
2
=0 (D) r(r −1) = 0
15 定義傅立葉轉換(Fourier transform)為
,其中
,試問
的傅 立葉轉換為何? (A)
(B)
(C)
(D)
16 下列何者無法進行拉普拉斯轉換? (A) f (t) = t
4
(B) 2 f (t) = e
t2
(C) f(t) cos3te
-2t
(D)
17 微分方程式
之通解為
,其中 A及 B 為任意常數。 試求 a 及b ? (A) a = 0.2 + 4i , b = 0.2 − 4i (B) a = 4 + 0.2i , b = 4 − 0.2i (C) a = 0.2 , b = 4 (D) a = 4 , b = 0.2
18 疫苗製造商非常關心其血清疫苗的品質,假設每批血清都會依序經由 3 個不同部門的篩檢,血清被各部 門淘汰的機率分別為 0.10, 0.20 及 0.05。假設 3 個部門的篩檢是獨立的,請問某一批血清到第 3 個部門才 被淘汰的機率為何? (A) 0.68 (B) 0.05 (C) 0.036 (D) 0.001
19 連續且獨立的擲一個公正的骰子 n 次,令 X 為出現點數 4 的次數,請問 X 的期望值 E[ ] X 為何? (A)1/ 4 (B) n / 6 (C) n / 4 (D) n /3
20 連續隨機變數 X 與 Y 之結合機率密度函數(joint probability density function)為
,試求條件變異數V
a
r
? (A)5/18 (B)7 / 36 (C)11/150 (D)17 /180
申論題 (6)
【已刪除】一、若
,有 A
−1
存在,則
a
的限制為何?(10 分)
【已刪除】二、試求積分
,其中 C 為逆時針方向沿著積分路徑 |z| = 2的上半圓。(15 分)
【已刪除】三、請用拉普拉斯轉換(Laplace transform)求此微分方程式之解 y′′ − 3y′ + 2y = f (t) ,
。(10 分)
⑴累積分布函數F(x)(5 分)
⑵平均值E(X )(5 分)
⑶變異數Var(X )(5 分)
相關試卷
114年 - 114 專技高考_電機工程技師:工程數學(包括線性代數、微分方程、複變函數與機率)#133679
114年 · #133679
114年 - 114 專技高考_電子工程技師:工程數學(包括線性代數、微分方程、向量分析、複變函數與機率)#133677
114年 · #133677
114年 - 114 調查特種考試_三等_電子科學組:工程數學#129578
114年 · #129578
114年 - 114 國家安全情報特種考試_三等_電子組(選試英文):工程數學#127780
114年 · #127780
113年 - 113 專技高考_電子工程技師:工程數學(包括線性代數、微分方程、向量分析、複變函數與機率)#123976
113年 · #123976
113年 - 113 專技高考_電機工程技師:工程數學(包括線性代數、微分方程、複變函數與機率)#123971
113年 · #123971
113年 - 113 調查特種考試_三等_電子科學組:工程數學#122110
113年 · #122110
113年 - 113 身心障礙特種考試_三等_電力工程:工程數學#119517
113年 · #119517
112年 - 112 地方政府特種考試_三等_電力工程、電子工程:工程數學#118376
112年 · #118376
112年 - 112 專技高考_電機工程技師:工程數學(包括線性代數、微分方程、複變函數與機率)#117639
112年 · #117639