所屬科目:中山◆電機◆電磁學
a.(10%) Using the Method of Image, write down the potential distribution, V(x, y, 2), for a point P(x, y, z) in space, as shown in Figure (a), in terms of R+ and R., as indicated in Figure (b). The dielectric constant of the space isεo.
b.(10%) Write the electric intensities () for a point on the ZX-plane in terms of d and R, or d and r, as indicated in (b). P(x, y, z) (x0, d. 0) Grounded plane conductor (ImageCharge) (a) Physical arrangement. (b) Image charge and field lines. Figures (a) and (b) a single charge Q above a ground plane Problem 2 A air-filled coaxial with dimensions as shown in the following figure:
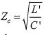
b. (5%) The characteristic impedance is defined as , find out the characteristics impedance at high frequencies, and please indicate the unit for it.
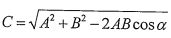
Problem 4 (10%) Refer to the following figure and prove the law of Cosines,.
Problem 5 (15%) A parallel polarized plane wave is obliquely incident from free-space onto a magnetic material with permittivityε0 and permeability μ0 μr. Find the reflection coelfcient, transmission coelticient, and Brewster angle.
Problem 6 (15%) A 50Ω transmission line is matched to a 10V AC source and feeds a load ZL = 100Ω. If the line is 2.3 λ long and has an attenuation constant a = 0.5 dB /λ. Find the powers that are delivered by the source, lost in the line, and delivered to the load.
Problem 7 (10%) For a rectangular waveguide that supports mode, explain why a narrow slot can be cut along the centerline of the broad wall of the rectangular waveguide without perturbing the propagation of the mode.