阿摩線上測驗
登入
首頁
>
化學反應工程學
> 102年 - 102 專利商標審查特種考試_三等_一般化工:化學反應工程學#25588
102年 - 102 專利商標審查特種考試_三等_一般化工:化學反應工程學#25588
科目:
化學反應工程學 |
年份:
102年 |
選擇題數:
0 |
申論題數:
12
試卷資訊
所屬科目:
化學反應工程學
選擇題 (0)
申論題 (12)
【已刪除】⑴請依圖 1 之符號推出系統求解公式(1)。(10 分)
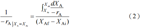
【已刪除】⑵若 V 為最小,為求 R 值,則應對公式(1)進行何種推導可得公式(2)。(僅列 示意公式,不必詳細推導)(10 分) )
【已刪除】⑶請依公式(2)求出 R 與 V 之值。(15 分)
其中F :莫耳流率(molar flow rate);v:體積流率(volumetric flow rate);X :轉 化率(conversion); X
Ai
= X
A1
; R :迴流比(recycle ratio);V :體積(Plug flow reactor/PFR volume);K, L:位置(position); F'
A0
(=RF
A0
+ F
A0
):視新鮮進 料與迴流料均未有任何轉化(The feed rate of A if the stream entering the reactor(fresh feed plus recycle)were unconverted)。 K FA0 υ 0 0 X A0 = V )( A0 F ′ A1 X 1 X A2 f R + )1( υ f
⑴若用一連續攪拌槽反應器(continuous flow stirred tank reactor/CSTR)來操作則 V 要多大。(5 分)
⑵若用一柱塞流反應器(plug flow reactor/PFR)來操作則 V 要多大。(5 分)
⑴請計算 k
0
(frequency factor)。(10 分)
⑵請計算E (activation energy)。(10 分)
⑴我們應安排什麼樣的操作條件。(5 分)
⑵如何來進行實驗取得必要的數據。(5 分)
⑶以何求解公式來求得反應速率常數。(5 分)
⑴求取在 CSTR 之平衡轉化率 X
e
。(10 分)
⑵求取在 CSTR 所需之體積,其轉化率 X 可達平衡轉化率之 90%。(10 分)
相關試卷
114年 - 114 專技高考_化學工程技師:化學反應工程(亦稱化工動力學)#133683
114年 · #133683
114年 - 114 公務升官等考試_薦任_化學工程:化學反應工程學#133272
114年 · #133272
113年 - 113 專技高考_化學工程技師:化學反應工程(亦稱化工動力學)#123888
113年 · #123888
112年 - 112 地方政府特種考試_三等_化學工程:化學反應工程學#118337
112年 · #118337
112年 - 112 專技高考_化學工程技師:化學反應工程(亦稱化工動力學)#117641
112年 · #117641
112年 - 112 公務升官等考試_薦任_化學工程:化學反應工程學#117353
112年 · #117353
112年 - 112 高等考試_三級_化學工程:化學反應工程學#115757
112年 · #115757
111年 - 111 專技高考_化學工程技師:化學反應工程(亦稱化工動力學)#111956
111年 · #111956
111年 - 111 高等考試_二級_化學工程:高等化學反應工程學#111040
111年 · #111040
111年 - 111 高等考試_三級_化學工程:化學反應工程學#109726
111年 · #109726