阿摩線上測驗
登入
首頁
>
工程數學(應用數學, 線性代數、微分方程、複變函數與機率)
> 102年 - 102 專技高考_電子工程技師:工程數學(包括線性代數、微分方程、向量分析、複變函數與機率)#29358
102年 - 102 專技高考_電子工程技師:工程數學(包括線性代數、微分方程、向量分析、複變函數與機率)#29358
科目:
工程數學(應用數學, 線性代數、微分方程、複變函數與機率) |
年份:
102年 |
選擇題數:
0 |
申論題數:
7
試卷資訊
所屬科目:
工程數學(應用數學, 線性代數、微分方程、複變函數與機率)
選擇題 (0)
申論題 (7)
【已刪除】一、試求
之積分值。(10 分)
⑴矩陣 A 之特徵值與特徵向量。(15 分)
⑵
f
(A)。(20 分)
三、試求微分方程式y′′ -4y'+4y=e
2
x
之解。(15 分)
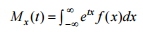
【已刪除】四、試求解
之反拉氏轉換(inverse Laplace transform)。(20 分)
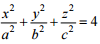
【已刪除】五、設 V 為
所包圍的體積,求∫∫∫ dxdydz V 之積分值。(5 分)
【已刪除】六、設隨機變數 x 之機率分布為常態分布,其平均值為 μ,其變異數為 σ,求其動差生 成函數(moment-generating function):(15 分)
相關試卷
114年 - 114 專技高考_電機工程技師:工程數學(包括線性代數、微分方程、複變函數與機率)#133679
114年 · #133679
114年 - 114 專技高考_電子工程技師:工程數學(包括線性代數、微分方程、向量分析、複變函數與機率)#133677
114年 · #133677
114年 - 114 調查特種考試_三等_電子科學組:工程數學#129578
114年 · #129578
114年 - 114 國家安全情報特種考試_三等_電子組(選試英文):工程數學#127780
114年 · #127780
113年 - 113 專技高考_電子工程技師:工程數學(包括線性代數、微分方程、向量分析、複變函數與機率)#123976
113年 · #123976
113年 - 113 專技高考_電機工程技師:工程數學(包括線性代數、微分方程、複變函數與機率)#123971
113年 · #123971
113年 - 113 調查特種考試_三等_電子科學組:工程數學#122110
113年 · #122110
113年 - 113 身心障礙特種考試_三等_電力工程:工程數學#119517
113年 · #119517
112年 - 112 地方政府特種考試_三等_電力工程、電子工程:工程數學#118376
112年 · #118376
112年 - 112 專技高考_電機工程技師:工程數學(包括線性代數、微分方程、複變函數與機率)#117639
112年 · #117639