阿摩線上測驗
登入
首頁
>
工程數學(應用數學, 線性代數、微分方程、複變函數與機率)
> 102年 - 102 調查特種考試_三等_電子科學組:工程數學#25929
102年 - 102 調查特種考試_三等_電子科學組:工程數學#25929
科目:
工程數學(應用數學, 線性代數、微分方程、複變函數與機率) |
年份:
102年 |
選擇題數:
0 |
申論題數:
5
試卷資訊
所屬科目:
工程數學(應用數學, 線性代數、微分方程、複變函數與機率)
選擇題 (0)
申論題 (5)
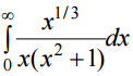
【已刪除】一、試求解右列積分值
。(20 分)
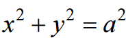
【已刪除】二、若
,試計算面積分
之值。 其中 S 為由z = 0,z = b兩平面與
,z 為任意值之圓柱所構成之封閉曲面,
則為指向外之單位法向量。(20 分)
【已刪除】三、有一時間訊號分布如下圖所示,試對其進行傅立葉級數(Fourier series)展開,並 繪其頻譜圖。(20 分)
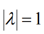
【已刪除】四、若 λ 為單式矩陣(Unitary matrix)U 的一個特徵值(eigenvalue),試證明
。 (20 分)
【已刪除】五、求解下列微分方程式:(20 分)
邊界條件: u(4,θ ) = θ
2
,for −π ≤ θ ≤ π
相關試卷
114年 - 114 專技高考_電機工程技師:工程數學(包括線性代數、微分方程、複變函數與機率)#133679
114年 · #133679
114年 - 114 專技高考_電子工程技師:工程數學(包括線性代數、微分方程、向量分析、複變函數與機率)#133677
114年 · #133677
114年 - 114 調查特種考試_三等_電子科學組:工程數學#129578
114年 · #129578
114年 - 114 國家安全情報特種考試_三等_電子組(選試英文):工程數學#127780
114年 · #127780
113年 - 113 專技高考_電子工程技師:工程數學(包括線性代數、微分方程、向量分析、複變函數與機率)#123976
113年 · #123976
113年 - 113 專技高考_電機工程技師:工程數學(包括線性代數、微分方程、複變函數與機率)#123971
113年 · #123971
113年 - 113 調查特種考試_三等_電子科學組:工程數學#122110
113年 · #122110
113年 - 113 身心障礙特種考試_三等_電力工程:工程數學#119517
113年 · #119517
112年 - 112 地方政府特種考試_三等_電力工程、電子工程:工程數學#118376
112年 · #118376
112年 - 112 專技高考_電機工程技師:工程數學(包括線性代數、微分方程、複變函數與機率)#117639
112年 · #117639