阿摩線上測驗
登入
首頁
>
鋼筋混凝土學與設計
> 102年 - 102 鐵路特種考試_高員三級_土木工程:鋼筋混凝土學與設計#33919
102年 - 102 鐵路特種考試_高員三級_土木工程:鋼筋混凝土學與設計#33919
科目:
鋼筋混凝土學與設計 |
年份:
102年 |
選擇題數:
0 |
申論題數:
6
試卷資訊
所屬科目:
鋼筋混凝土學與設計
選擇題 (0)
申論題 (6)
⑴可配置最少剪力鋼筋量之 X 值 。(13 分)
⑵在支承處之剪力鋼筋間距。(12 分)
鋼筋 f
y
= 4200 kgf/cm
2
,混凝土 f '
c
= 245 kgf/cm
2
⑴試檢核梁 深與跨徑的比例是否符合設計規範規定(5 分),
⑵試檢核本梁之撓度是否符合規 範之規定(20 分)。
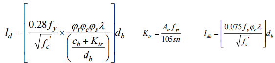
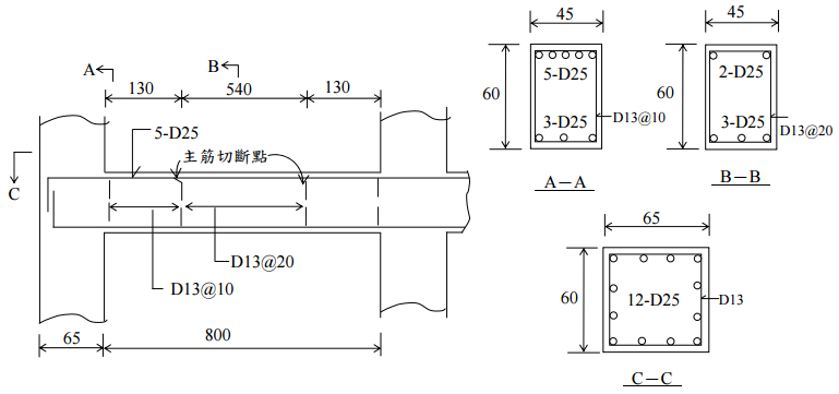
【已刪除】三、試檢核圖示 A-A 斷面梁頂部撓曲鋼筋之伸展長度。(25 分)
鋼筋 f
y
= 4200 kgf/cm
2
, 混凝土 f'
c
= 280 kgf/cm
2
, f
yt
= 4200 kgf/cm
2
四、在設計圖示鋼筋混凝土構架一樓柱時,是否應考慮為長柱,試依現行鋼筋混凝土設 計規範列式說明判定之方法。(25 分)
相關試卷
114年 - 114 地方政府公務、離島地區公務特種考試_三等_土木工程:鋼筋混凝土學與設計#134753
114年 · #134753
114年 - 114 高等考試_三級_土木工程:鋼筋混凝土學與設計#128726
114年 · #128726
113年 - 113-2 國營臺灣鐵路股份有限公司_從業人員甄試試題_第9階-技術員-土木工程:鋼筋混凝土學與設計概要#137156
113年 · #137156
113年 - 113 國營臺灣鐵路股份有限公司_從業人員甄試_第8階-助理工程師-土木工程:鋼筋混凝土學與設計#137104
113年 · #137104
113年 - 113-2 國營臺灣鐵路股份有限公司_從業人員甄試_第8階-助理工程師-土木工程:鋼筋混凝土學與設計#137090
113年 · #137090
113年 - 113-2 國營臺灣鐵路股份有限公司_從業人員甄試_第 9 階-技術員-土木工程:鋼筋混凝土學與設計概要#135450
113年 · #135450
113年 - 113 地方政府公務、離島地區公務特種考試_三等_土木工程:鋼筋混凝土學與設計#124342
113年 · #124342
113年 - 113 高等考試_三級_土木工程:鋼筋混凝土學與設計#121483
113年 · #121483
113年 - 113 國營臺灣鐵路股份有限公司_從業人員甄試_第 9 階-技術員-土木工程:鋼筋混凝土學與設計概要#119089
113年 · #119089
112年 - 112 地方政府特種考試_三等_土木工程:鋼筋混凝土學與設計#118382
112年 · #118382