所屬科目:教甄◆商業經營科
4.下列敘述有那些是正確的? (A)若文旦價格上漲15%,其總收入增加5%,表示消費者對文 旦的需求彈性為1/3 (B)當價格上漲一點點,需求量會銳減至零,是指需要彈性為0時(C),表示 線任一點之供給彈性均大於1,線上較高價格的點,供給彈性愈小(D) 若某物價格下跌10%,生產者的總收入亦隨之減少10%,則消費者對該物的需求彈性為1。
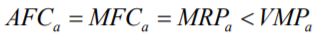
9.下列敘述何者錯誤?1. 要素市場為不完全競爭,則廠商的邊際要素成本(MFC)一定大於平均 要素成本(AFC) 2. 要素市場為完全競爭,則廠商的邊際收益產量(MRP)一定等於平均產值 (VAP) 3. 若 ,表a要素市場為完全競爭市場,產品市場為不 完全競爭市場 4. 要素市場為完全競爭市場會面對水平的要素需要曲線。 (A)2. (B)2. 4. (C)2. 3. 4. (D)1. 2. 3. 4. 。
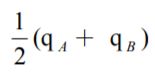
3.寡占市場中,企業在決定各自產量時,彼此的產量決策並不會互相影響,此時均衡產量稱為 庫諾(Cournot)均衡解。假設企業A的生產量為q 。 A,企業B的生產量q B,P為市場價格,企業A 之總成本函數為C A =40 q A ,企業B之總成本函數為C B =60q B ,市場需求函數為P=200-,利潤最大下,Cournot均衡解qA=_____________ qB=___________