所屬科目:公共衛生◆生物統計
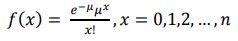
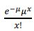
2. 下列對卜瓦松隨機變數 X 的機率函數之表示,何者最正確?(A) (B) f(x) = , x = 0,1,2, … , ∞(C) (D)
3. 以下為一組年齡資料所繪製之莖葉圖(stem-and-leaf display),則眾數(mode) 是? (A) 53 (B) 55 (C) 67 (D) 以上皆非
4. 下列何者不適合用來描述 6 年 8 班的血型分佈? (A) 長條圖(bar chart) (B) 盒鬚圖(box plot) (C) 圓餅圖(pie chart) (D) 次數多邊圖(frequency polygons)
5. 下表為 76 名高血壓住院病人之收縮壓(SBP)測量值分佈情形,以下哪一個統計圖最適合用於描述此高血壓病人樣本 SBP 之分佈? (A) 長條圖(bar chart) (B) 圓餅圖(pie chart) (C) 盒鬚圖(box chart) (D) 直方圖(histogram)
9. 有項膽固醇相關研究,已知 20-40 歲者其血液中膽固醇平均數為 180 mg/dL。 若想證明 41-60 歲中老年人的膽固醇高於 180 mg/dL,且中老年人膽固醇平均 數以 μ 表示,則虛無假設及對立假設要如何陳述? (A) H0 : μ = 180 VS H1 : μ > 180 (B) H0 : μ > 180 VS H1 : μ≤ 180 (C) H0 :μ≥ 180 VS H1 : μ < 180 (D) H0 : μ ≤ 180 VS H1 : μ > 180
16. 藥廠宣稱,其生產之藥品每罐平均重量至少為 500 公克,標準差為 14 公克。 今自其藥品中隨機抽取 49 罐測定其重量,得其平均值()為 488 公克。下列 何者為假設檢定之拒絕域?(Z 為標準常態分配,顯著水準為 0.05) (A) ≤ 496.08 (B) Z ≥ 1.95
28. 今有一健康檢查資料,針對 10 名國小學童分別測量在一年級及三年級時的身 高,資料如下(單位:cm): 研究目的為學童在兩年的時間中,身高是否有增加的現象。則檢定之虛無假 設為兩年前後平均體重(μ1-μ2)的差異?(顯著水準 α=0.05) (A) 大於等於零 (B) 小於等於零 (C) 等於零 (D) 以上皆非
29. 某研究隨機調查 100 位 12 歲女童的身高(X,公分)與體重(Y,公斤),得到以 下之迴歸方程式 ,且此迴歸線的判定係數(coefficient of determination)為 0.64。下列敘述何者有誤? (A) 此組資料身高與體重的相關係數為 0.8 (B) 12 歲女童的身高與體重有高度的線性正相關 (C) 12 歲女童的身高可以解釋其體重變異量的 64% (D) 12 歲女童的身高每增加 10 公分,其平均體重增加 0.5 公斤
30. 某公司進行成本分析,於是做了一個工作時數(X)與產量(Y)的迴歸分析,及得到的結果如下表: 請問下列哪一個統計值可以拿來檢定工作時數是否為產量之重要解釋變數? (A) 10 (B) 4 (C) 3 (D) 1 7