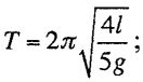
16. Suppose the magnetic field ( B ) in a plane electromagnetic (EM) wave is given by B = Byĵ, where By = 2×10⁻⁷sin(0.5×10³x + 1.5×10¹¹t) Tesla, ĵ is the unit vector along the y direction, and the SI unit is adopted. What is the expression for the electric field vector E(x,t) (in the SI unit) of this EM wave? (A) 60sin(0.5×10³x + 1.5×10¹¹t) î, where î is the unit vector along the x direction. (B) -60sin(0.5×10³x + 1.5×10¹¹t) î, where î is the unit vector along the x direction. (C) 60sin(0.5×10³x + 1.5×10¹¹t) k̂, where k̂ is the unit vector along the z direction. (D) -60sin(0.5×10³x + 1.5×10¹¹t) k̂, where k̂ is the unit vector along the z direction. (E) None of the above.