所屬科目:捷運◆電機概論
3. 圖 1 中,若 V1為 20 V,則 V2為 (A) 80 V (B) 60 V (C) 40 V (D) 20 V
5. 電路的電流節點如圖 2,電流 I 為(A)6 A (B) 5 A (C) 4 A (D) 3 A
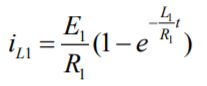
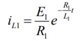
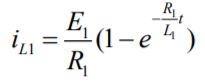
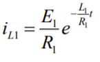
6. 如圖 3 所示,當時間 t 為零時,開關 S1導通,且電感 L1的 電流初值為零,則電感電流 iL1為 (A) (B)(C) (D)
7. 如圖 4 所示,穩態時電容端電壓 vc為 (A) 30 V (B) 20 V (C) 10 V (D) 5 V
8. 如圖 5 所示,電路穩態電流 IL為 (A) 3 A (B) 2 A (C) 1 A (D) 0 A
10. 交流電路中,若 i1 = 10sin (377t) A 與 i2 = 10sin(377t − 90°) A 的合成電流為 (A) (B) (C) (D) °
12. 電阻 R1,電感 L1及電容 C1串聯所構成的電路如圖 6,電源 電壓 e1的頻率為諧振頻率,下列敘述何者正確? (A) 電流 i1的相位領前電壓 e1 (B) 電流 i1的相位落後電壓 e1 (C) 電流 i1的相位與電壓 e1同相 (D) 電路的總阻抗最大
13. 在圖 7 中,等效阻抗,負載欲得最大功率輸出,則需調整為 (A) (B) (C) (D)
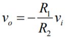
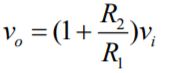
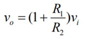
15. 如圖 8 所示,若運算放大器為理想特性,則輸出電壓 vo與輸 入電壓 vi的關係為 (A) (B) (C) (D)
16. 運算放大器電路如圖 9,此電路的功能為何? (A) 微分電路 (B) 積分電路 (C) 整流電路 (D) 截波電路
17. 二極體與電阻組成之數位邏輯閘(logic gate)如圖 10 所示,此為 (A) NAND gate (B) NOR gate (C) AND gate (D) OR gate
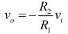
19. 如圖 11 所示,若運算放大器為理想特性,則 vo與 vi的關係 為 (A) (B)(C) (D)
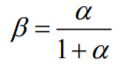
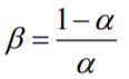
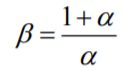
20. 有關雙極性電晶體,β 表示共射極電流增益,α 表示共基極電流增益,則 β 與 α 的關係為 (A) (B)(C) (D)
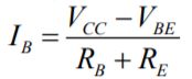
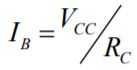
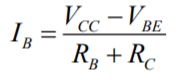
22. 電晶體的直流偏壓電路如圖 12,β 為共射極電流增益(common-emitter current gain),VBE為主動區操作下 B 極與 E 極間的電壓,則 IB為 (A) (B)(C)(D)
23. 電晶體的直流偏壓電路如圖 13 所示,其中 VBE為基極與射極間的電壓, 若此電晶體操作於主動區,則基極電流 IB為 (A) (B) (C) (D)
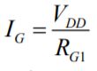
24. 場效應電晶體的偏壓電路如圖 14,則 IG為 (A)(B)(C) (D) IG為零
27. 在磁路中,B 表示磁通密度,H 表示磁場強度,μ 表示導磁係數,其關係為 (A) (B) B = μH (C) B= μH 2 (D)
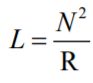
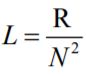
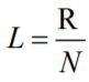
29. 某線圈的匝數為 N,磁路的磁阻為P,若忽略磁飽和現象,則電感 L 為 (A) (B) (C)(D) 。
33. 永磁式直流電動機中,Ia為電樞電流,Ra為電樞電阻,Ea為感應電動勢,Va為外加電壓,則 其關係為 (A)(B) (C) (D)
39. 單相負載的端電壓 vL = Vm sin377t V,負載電流 iL = Im sin(377t − 30°) A 此負載的虛功率為 (A)(B) (C)(D) °
40. 單相負載的 S 表示視在功率單位為 VA;P 表示實功率單位為 W,則虛功率 Q 為 (A) (B) VAR (C) VAR (D) VAR
41. 電容的端電壓為 220 V (有效值),電容抗為 10 Ω,則此電容的虛功率為 (A) (B) (C) (D)
42. 單相負載的視在功率為 2000 VA,負載電壓為 220 V,則負載阻抗為 (A)Ω (B) Ω (C) Ω (D) Ω
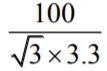
46. 三相平衡系統其負載的總視在功率為 100 kVA,線電壓為 3.3 kV (有效值),則線電流為多少 A (有效值)? (A)(B) (C) (D)
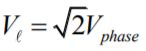
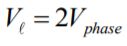
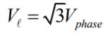
47. 三相平衡系統其線電壓與相電壓 Vphase的關係為 (A) (B)(C) (D)