阿摩線上測驗
登入
首頁
>
基本電學(概要)
> 103年 - 103 關務、身心障礙特種考試_四等_電機工程、電力工程、電子工程:基本電學#43628
103年 - 103 關務、身心障礙特種考試_四等_電機工程、電力工程、電子工程:基本電學#43628
科目:
基本電學(概要) |
年份:
103年 |
選擇題數:
0 |
申論題數:
7
試卷資訊
所屬科目:
基本電學(概要)
選擇題 (0)
申論題 (7)
⑴利用檢流計設計伏特計(Voltmeter)時,欲使伏特計可量測之最大電壓 V
m
=10 伏特, 請問:伏特計之等效電阻 R
V
為多少歐姆?(10 分)
⑵利用檢流計設計安培計(Ammeter)時,欲使安培計可量測之最大電流 I
m
=50mA, 請問:安培計之等效電阻 R
A
為多少歐姆?(10 分)
⑴開關 SW 閉合(close)之「瞬間」,流經 R1 電阻之電流 I 值。(10 分)
⑵開關 SW 閉合(close)「很久之後」,電路達到穩態時,電流 I 值。(10 分)
【已刪除】三、如圖三所示電路,其中電阻 6Ω 兩端電壓為 V
1
(伏特),受控電流源之電流大小為
(安培),請計算 A,B 兩端之戴維寧(Thevenin)等效電壓 V
TH
和等效電阻 R
TH
之值。(20 分)
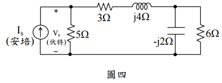
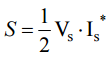
【已刪除】四、如圖四所示弦波穩態電路,其中
(安培),假設電流源產生之複數功率 (complex power)
可以表示成 S = A + jB (VA)請計算 A 和 B 之值。(20 分)
【已刪除】五、如圖五所示弦波穩態電路,其中
(伏特),欲使電感 L 產生之輸出電壓
(伏特),假設阻抗
,請計算 A 和 θ 之值。(20 分)
相關試卷
115年 - 115 關務特種考試_四等_電機工程(選試英文):基本電學#138955
115年 · #138955
115年 - 115-1 臺北市立大安高工教師甄選試題_電子/控制科:基本電學#138451
115年 · #138451
114年 - 114 關務特種考試_四等_電機工程(選試英文):基本電學#126651
114年 · #126651
113年 - 113 關務特種考試_四等_電機工程(選試英文)、電機工程(選試日文):基本電學#119481
113年 · #119481
112年 - 112 地方政府特種考試_四等_電力工程、電子工程、電信工程:基本電學#118330
112年 · #118330
112年 - 112 普通考試_電力工程、電子工程、電信工程:基本電學#115756
112年 · #115756
112年 - 112 關務特種考試_四等_電機工程:基本電學#113949
112年 · #113949
111年 - 111 地方政府特種考試_四等_電力工程、電子工程、電信工程:基本電學#112594
111年 · #112594
111年 - 111 中華郵政股份有限公司_職階人員資產營運及工程類科甄試試題_專業職(一)/電力工程:基本電學#111525
111年 · #111525
111年 - 111 普通考試_電力工程、電子工程、電信工程:基本電學#109349
111年 · #109349