阿摩線上測驗
登入
首頁
>
四技二專統測◆數學A
> 104年 - 104 四技二專統測_共同科目:數學(A)#21011
104年 - 104 四技二專統測_共同科目:數學(A)#21011
科目:
四技二專統測◆數學A |
年份:
104年 |
選擇題數:
25 |
申論題數:
0
試卷資訊
所屬科目:
四技二專統測◆數學A
選擇題 (25)
1. 某高職想要了解全校學生的英文程度,今依各科別人數的比例,於每一科別中,用簡單隨機 抽樣抽出所需之學生,再集合各科別所抽出之學生進行英文測驗。如上所述,則此校 所採用的抽樣方法為下列哪一種? (A) 簡單隨機抽樣 (B) 系統抽樣 (C) 分層隨機抽樣 (D) 部落抽樣
2. 若 A(3,2) , B(-1,5),C(9,- 4) 為坐標平面上三點,則向量
(A) (-2,3) (B) (1,-3) (C) (0,0) (D) (3,2)
3. 設袋中有大小相同的乒乓球 10 個,其中 8 個白色,2 個黃色。今自此袋中任取一個 乒乓球,每個乒乓球被取到的機會均等,若取到白色的乒乓球可得 50 元,取到黃色的 乒乓球可得 100 元,則任取一個乒乓球可得金額的期望值為多少元? (A) 55 (B) 60 (C) 65 (D) 70
4. 若多項式 f (x) 除以 x + 2 的餘式為 -1 ,則 (3x
3
+1)f(x)+x
2
+x+1 除以 x + 2 的餘式為 何? (A) - 3 (B) 3 (C) 13 (D) 26
5. 設七個實數 a1 ,a2 ,a3 ,a4 ,a5 ,a6 ,a7 成等比數列,公比為 r 。若 a1 + a2 = 2 且 a6 + a7 = 486, 則 r = ? (A) 3 (B) 4 (C) 6 (D) 9
6. 設 a,b,c 均為實數,且直線 bx + cy = a 通過第一、三、四象限,則直線 ax + by = c 可能為下列哪 一個圖形?
7. 若直線L過點 (2,1) 及兩直線 2x - y = 4 , x +3y = -5 的交點,則直線L的斜率為何? (A) 2 (B) 3 (C) 4 (D) 5
8. 若
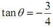
且 sinΘ < 0 ,則 5sinΘ +10cosΘ = ? (A) 5 (B) 6 (C) 7 (D) 8
9. 若 a = sin150°,b = sec(- 420°),c = cot 945°,則下列何者正確? (A) a > b > c (B) a > c > b (C) b > c > a (D) c > a > b
10. 設平面上兩向量
的夾角為 Θ ,若cosΘ = 33/65 ,
,
(A) - 39 (B) 93 (C) 97 (D) 435
11. 多項式(9x
4
-5x
2
+7x+1)(4x
3
+2x
2
+3x-7)的 x
5
項的係數為何? (A) - 20 (B) - 2 (C) 7 (D) 63
12. 下列哪一個方程式有正的實數解? (A) x
2
+7x+9=0 (B)
(C) log( x +1) = -1 (D)
13. 已知 log 2 = 0.3010,log3 = 0.4771 ,則 log 7.2 = ? (A) 0.7781 (B) 0.8572 (C) 1.8572 (D) 2.8572
14. 設 a,b 均為實數,若不等式 ax2+3x+b ≥ 0 的解為
,則 3a + 6b = ? (A) 2 (B) 4 (C) 6 (D) 8
15. 在坐標平面上,滿足聯立不等式
區域的面積為何? (A) 77/2 (B) 79/2 (C) 81/2 (D) 83/2
16. 設 a 為實數,且直線 3x + 4y +1= 0 與圓 (x-a)
2
+y
2
=4沒有交點,則 a 可能為下列哪一個數? (A) - 3 (B) - 2 (C) 3 (D) 4
17. 從7位男生、3位女生中,任選4人到醫院實習。若此4人中至少有1位女生,則共有多少 種選取的方式? (A) 95 (B) 135 (C) 175 (D) 215
18. 某班學生期中考成績的平均分數為 42 分、標準差為 6 分。若將每位學生的原始成績都 乘以同一個數 a 後再加4,使得調整後的平均分數為60分,則調整後的標準差為幾分? (A) 6 (B) 8 (C) 10 (D) 12
19. 某校對全體新生進行一項邏輯推理的測驗,其成績呈常態分配,如圖 ( 一 ) 所示,平均數 μ 為62分、標準差 為8分。若成績低於70分的學生有672人,則成績介於54分到78分 的學生約有多少人? (A) 600 (B) 620 (C) 638 (D) 652 圖(一)
20. 設點 O 是 △ABC 的外接圓圓心,且在 △ABC 的內部, AB 的長度為 m , AC 的長度為 n 。 若 ∠AOB =120°,∠BOC =150° ,則 m/n= ?
21. 若一圓與直線 x = 4 相切於點 (4,6) ,且與直線 y = 2 相切於點 (8,2) ,則此圓的方程式為何? (A)(x-8)
2
+(y-6)
2
=16(B) (x-6)
2
+(y-8)
2
=9 (C) (x-4)
2
+(y-2)
2
=25 (D) (x-2)
2
+(y-4)
2
=36
22. 若 sinΘ 與 cosΘ 是方程式 3x
2
- x + a=0的兩根,則 a = ? (A) -4/3 (B) -3/4 (C) 3/4 (D) 4/3
23. 已知 △ABC 中, ∠BCA =120° , AC = 3 , BC = 5 ,且 D 在 AB 上。若 CD ⊥ AB ,則 CD = ?
24. 甲、乙、丙、丁、戊、己六人排成一列。若甲、乙、丙三人相鄰,且丙介於甲、乙之間,則此 六人共有多少種排法? (A) 42 (B) 44 (C) 46 (D) 48
25. 從 1,2,3,4,5,6,7,8,9 這九個數中,任取相異的三個數,若每個數被取到的機會均等, 則此三數的和為奇數的機率為何?(A)5/43(B)5/14(C)10/21(D)9/14
申論題 (0)
相關試卷
114年 - 114 四技二專統測_共同科目:數學(A)#137776
114年 · #137776
113年 - 113 四技二專統測_共同科目:數學(A)#121707
113年 · #121707
112年 - 112 四技二專統測_共同科目:數學(A)#117802
112年 · #117802
111年 - 111 身心障礙學生升學大專校院甄試試題_四技二專組_共同科目:數學(A)#118921
111年 · #118921
111年 - 111 四技二專統測_共同科目:數學(A)#107788
111年 · #107788
109年 - 109 四技二專統測_共同科目:數學(A)#85162
109年 · #85162
108年 - 108 四技二專統測_共同科目:數學(A)#76525
108年 · #76525
107年 - 107 四技二專統測_共同科目:數學(A)#73258
107年 · #73258
106年 - 106 四技二專統測_共同科目:數學(A)#61707
106年 · #61707
106年 - 106 四技二專統測_共同科目:數學(A) 1-14 (重複)#61706
106年 · #61706