所屬科目:國營事業◆1.單元操作 2.輸送現象
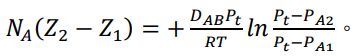
(一)證明: (10分)
(二)試計算水蒸氣擴散之莫耳流通量(N )為多少Kg-mole/sec-m2?(5分) 已知:
四、某種液體置於一開放式圓柱桶內,桶之下方接一排液管,如【圖 4】所示。試導證:圓柱桶內之液體排光所需時間之表示式為如下之形式。(20分)假設:(1)不可壓縮性牛頓流體,物性視為一定。(2)液體在圓柱桶之摩擦損失可忽略,液體由圓柱桶流入排液管處之摩擦損失可忽略,液體由排液管排至大氣 處之摩擦損失可忽略。(3)液體在排液管管壁之摩擦損失必須考慮,並假設為層流流動。