所屬科目:教甄◆數學
1. 已知二次函數滿足,則? (A) 9 (B) 10 (C) 18 (D) 26
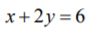
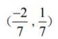
4. 設 a 、b 、c 、d 為實數,若直線 與曲線有一相交點 (2,2) ,試求通過 與兩點的直線方程式為何? (A) (B) (C) (D)
6. 在 △ABC 中,且 = 4 、 = 6 、∠ A =60 °,若點 D 為 △ABC 的垂心,求 = ? (A) (B) (C) (D)
7. 設 x 為實數, 解的個數為何? (A) 2 (B) 6 (C) 10 (D) 12
9. 如圖(一)所示,圓 O 的半徑為 5,點 A 坐標為(3,0),點 B 為圓 O 上一點,點 C 為線段 的中垂線和線段的交點。當點 B 在圓 O 上移動時,試求動點 C 的軌跡方程式。 (A) (B) (C) (D)
10. 試求多項式除以的餘式為何? (A)(B) (C) (D)
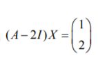
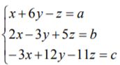
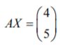
11. 已知某二元一次方程組可以寫成矩陣的等式 ,其中A 為 方陣; ,而 。 若此方程組有唯一的解 ,則下列哪一選項是不正確的? (A) 方陣 A的行列式之值可能等於4 (B) 若 的反矩陣為B ,則 (C) 方程組 必定有解 (D) 方程組 可能無解
12. 不大於 50 的正整數 n 中,有多少個正整數 n 使得 為 7 的倍數? (A) 20 (B) 18 (C) 16 (D) 10
13. 某直角三角形的三邊長分別為 a、b 、c, 其中 c 為斜邊長。若 ,且此三角形的面積為 2,則 此三角形的周長為多少? (A) (B) (C) (D)
14. 當 a、b、c 為實數,且方程組 有解時,實數 a、b、c 就必須滿足 的關係, 那麼,數對 (p, q) 應為下列哪一選項? (A) (B) (C) (D)
15. 已知等腰三角形 ABC 的外接圓半徑為 15,其底邊 = 24 ,若△ABC 的面積可能為 a 或 b,且 a >b ,則 a- b = ?(A)216 (B) 200 (C) 105 (D) 72
17. 若在 △ABC 中 ∠A 與∠B 滿足 ,則 ∠C=? (A) (B) (C) (D)
18. 若第一象限的整數點在拋物線上,則 m+n 的最小值為何? (A) 99 (B) 100 (C) 101 (D) 102
19. 設空間三平面 相交,試求實數 a 的值。 (A) −1 (B) 0 (C)1 (D) 2
20. 坐標空間中,若圓 O 是 xy平面上以原點 (0,0,0) 為圓心、 為半徑的圓,則點, 與圓 O 上任意點之距 離的最大值為何? (A)14 (B) 15(C)16 (D)17
21. 在 △ABC 中, ∠A 、 ∠B 、 ∠C 的對邊分別為 a 、b 、c 。若 ,且 c = 6 ,則 ? (A)(B) (C) (D)
22. 已知大於或等於正整數n的整數都可以表示成 的形式,其中 a、b 、c 為正整數,則n 的最 小值為何? (A) 73 (B) 75 (C) 78 (D) 81
24. 下列哪一函數圖形與 的圖形經過平移或對稱後可以完全疊合(即圖形全等)? (A) (B) (C) (D)
25. 設 均為實數且滿足 ,則之值為何? (A) 0 (B) 1 (C) 2 (D) 3
29. 圓內接四邊形 ABCD 中,若 且 ,則 △ABD 與 △BCD 的面積比為何? (A) (B) (C) (D)
30. 若 且 ,則? (A) -2 (B) 1 (C) 3 (D) 隨 a、b、c 而定
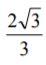
31. 在坐標平面上,,點 C 在 上使得 ,點 M 為 的中點,則 = ? (A) (B) (C) (D)
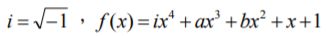
32. 設 a 、b 、c 均為實數,。,則 f (-2)之值為何? (A) - 5+16i (B) 5 +16i (C) - 5 -- 16i (D) 5 -16i
33. 設 和 為圓 O 的兩互相垂直的直徑,如圖(二)所示,若圓上一弦 分別交 和 於 H 點和 G 點, 且 = 2, = 3,= 3 ,試求圓 O 的面積為何? (A) (B) 18π (C) 20π (D)
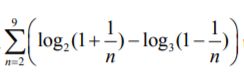
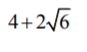
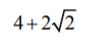
34. 級數 的和最接近下列哪一個數? (A) 3.82 (B) 4.32 (C) 4.82 (D) 5.32
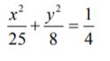
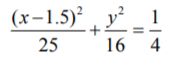
35. 設 x、y 為滿足的實數,且和 時分別使得 + 有最大值 M 與最 小值 m,若此兩點的距離為 d,試求? (A) 5 (B) 9 (C) 10 (D) 25
36. 設四邊形 ABCD 內接於一圓,如圖(三)所示,且 為此圓的直徑,若 且 = 7 ,試算 的 長度為何? (A) 4 (B) (C) (D)
38. 設數列滿足 且。若此數列前 103 項的和為 2016,則此數列前 105 項的和為多少? (A) 2 (B) 3 (C) 4 (D) 5
39. 設方程式 有兩根之和為 1,則 k 為多少? (A) 0 (B) 1 (C) 2 (D) 3
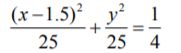
40. 設 x、y 為實數,且滿足 ,則 xy 最小值為何? (A) (B) (C) (D)