阿摩線上測驗
登入
首頁
>
電力系統
> 105年 - 105年身障特考三等電力系統#50179
105年 - 105年身障特考三等電力系統#50179
科目:
電力系統 |
年份:
105年 |
選擇題數:
0 |
申論題數:
9
試卷資訊
所屬科目:
電力系統
選擇題 (0)
申論題 (9)
⑴各迴路之 GMR 及線路之 GMD。 (15 分)
⑵各電路電感量 L
x
、 L
y
及總電感量 L
x
+ L
y
。 (10 分)
⑴請寫出匯流排 2 之實功率 P
2
與虛功 率 Q
2
之方程式。 (10 分)
⑵請以 Newton-Raphson 方法計算一次疊代後的 |V
2
|
及 δ
2
值, |V
2
| 之初始值為 1.0, δ
2
初始值為 0。 (15 分)
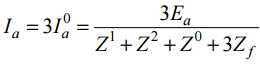
【已刪除】 ⑴ 試 證 明
。( 10 分 )
【已刪除】⑵ 試 證 明
。 (15 分)
⑴全載時 兩個比流器之輸出電流。 9 分)
⑵全載時電驛電流。 (8 分)
⑶所允許 25%過載之最小電驛電流標置。 (8 分)
相關試卷
115年 - 115 關務特種考試_三等_電機工程(選試英文):電力系統#138944
115年 · #138944
114年 - 114 地方政府公務特種考試_三等_電力工程:電力系統#134738
114年 · #134738
114年 - 114 專技高考_電機工程技師:電力系統#133708
114年 · #133708
114年 - 114 公務升官等考試_薦任_電力工程:電力系統#133165
114年 · #133165
114年 - 114 高等考試_二級_電力工程:電力系統#131586
114年 · #131586
114年 - 114 高等考試_三級_電力工程:電力系統#128774
114年 · #128774
114年 - 114 關務特種考試_三等_電機工程(選試英文):電力系統#126644
114年 · #126644
113年 - 113 臺灣菸酒股份有限公司_從業職員及從業評價職位人員甄試試題_電子電機:電力系統(含電路學)#133978
113年 · #133978
113年 - 113 地方政府公務特種考試_三等_電力工程:電力系統#124553
113年 · #124553
113年 - 113 專技高考_電機工程技師:電力系統#123952
113年 · #123952