阿摩線上測驗
登入
首頁
>
教甄◆電腦科專業
> 105年 - 105年高雄市國小教甄資訊試卷#55389
105年 - 105年高雄市國小教甄資訊試卷#55389
科目:
教甄◆電腦科專業 |
年份:
105年 |
選擇題數:
50 |
申論題數:
0
試卷資訊
所屬科目:
教甄◆電腦科專業
選擇題 (50)
1. 若考慮正負號,則 8 位元長度可儲存之最大值為? (A)127 (B) 128 (C) 255 (D) 256
2. 下列何種程式語言最適合在小學教導?(A) Basic (B) C (C) Lisp (D) Scratch
3. 為辦公室安裝無線路由器,希望使用最強的加密方式,以保護無線網路 的安全。請問您應選擇以下何種加密協定?(A) WPA2 (B) WAP (C) WPA (D) WEP
4. 下列何種設備可以找出傳送封包的最佳路徑? (A) 中繼器 (B) 橋接器 (C) 路由器 (D) 集線器
5. 下列何者非屬創用 CC 授權條款之授權要素? (A) 姓名標示 (B) 播放場合標示 (C) 非商業性 (D) 禁止改作
6. 下列何種聲音檔格式屬於合成音樂? (A) MIDI (B) MP3 (C) WAV (D) WMA
7. 下列有關 BIOS 之敘述,何者有誤? (A) BIOS 全名為 Basic Input Output System(B) 當電腦開機時,BIOS 會檢查電腦的相關設備是否正確(C) BIOS 為一種韌體(Firmware)(D) BIOS 為一種 RAM 製造之揮發性記憶體
8. 有關 HTML 超連結目標框架的設定中,下列何者為「開新視窗」之設定? (A) _top (B) _blank (C) _parent (D) _home
9. TCP/IP 通訊協定提供下列哪兩層之功能? (A) 應用層與傳輸層 (B) 傳輸層與網路層(C) 應用層與網路層 (D) 連結層與傳輸層
10. 下列何者不屬於網頁製作的開源內容管理系統(Open Source CMS)? (A) WordPress (B) Joomla (C) Xoops (D) Webshop
11. 在 Excel 試算表中,將儲存格以絕對參照位址表示時,是在欄名及列 名前加上哪個符號?(A) # (B) % (C) $ (D) &
12. 程式 <? echo 'Hello! '; ?> 為下列何種語言之語法? (A) ASP (B) PHP (C) Apache (D) Html
13. 定義網頁資料的格式化、顯示、特效等稱之為? (A) CCS (B) IIS (C) DSS (D) CSS
14. OpenOffice.org 中的簡報製作軟體稱為? (A) Writer (B) Calc (C) Impress (D) Base
15. 關於影像檔,下列何者敘述有誤? (A) jpg 檔採破壞性壓縮(B) ai 檔為無壓縮之向量圖檔(C) gif 可支援背景透明,但不支援動畫(D) tiff 檔支援 RGB 和 CMYK 色彩,適用於印刷
16. 團購網站是屬於何種電子商務類型? (A) B2B (B) B2C (C) C2B (D) C2C
17. 下列何者屬於個人的網域名稱? (A) .idv (B) .div (C) .pc (D) .org
18. 在 32 位元作業系統中,所能支援的實體記憶體容量上限應為多少? (A) 2GB (B) 4GB (C) 8GB (D) 16GB
19. 具遞迴(Recursive)能力的程式語言中,哪種資料結構常用來儲存呼叫 程序的返回位址(Return Address)?(A) 陣列(Array) (B) 串列(List)(C) 堆疊(Stack) (D) 佇列(Queue)
20. 一個 650GB 容量的硬碟,可存資料量約為? (A) 650×2
10
bytes (B) 650×2
20
bytes(C) 650×2
30
bytes (D) 650×2
40
bytes
21. 下列哪一種儲存元件的存取速度最快? (A) 靜態隨機存取記憶體(SRAM) (B) 唯讀記憶體(ROM)(C) 暫存器(Register) (D) 光碟(CD-ROM)
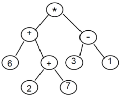
22. 右列二元樹(Binary Tree)代表的算術運算式為 何?(A) (3-1)+((2+7)*6) (B) (6-2+7)*(3-1)(C) ((2+7)-6)*(3+1) (D) (6+(2+7))*(3-1)
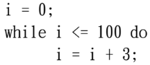
23. 下列為一程式片段:
執行上述程式片段後 i 的值為何?(A) 100 (B) 300 (C) 99 (D) 102
24. 在 RGB 色彩模式中,有關 RGB 組合與其產生的顏色,下列何者不正確? (A) (0, 0, 0)= 黑色 (B) (255, 0, 0)= 藍色(C) (255, 255, 255)= 白色 (D) (0, 255, 0)= 綠色
25. 在雲端運算環境中,下列何者代表透過網際網路可以使用伺服器或儲存裝置?(A) Software as a Service (SaaS)(B) Infrastructure as a Service (IaaS)(C) Platform as a Service (PaaS)(D) System as a Service (SaaS)
26. 利用氣泡排序法(Bubble Sort)將數列資料(4,6,9,5,8)依遞增順序排 序,在第一次排序循環結束後,此數列變成下列何者?(A) (4,6,5,8,9) (B) (4,6,5,9,8)(C) (6,4,5,9,8) (D) (6,4,9,5,8)
27. 對一個堆疊(stack)依序作 push(W), push(X), push (Y), pop(), pop(), push(Z), pop(), pop(),則最後輸出的結果依序為何?(A) WXYZ (B) WZXY (C) YXZW (D) XYZW
28. 以下哪一項與 STEM 教育的推動相對而言關係最低? (A) 創客 (B) 計算思維 (C) 邏輯能力 (D) 資訊素養
29. 以下何種資訊科技可以擴展電腦的應用範圍最大? (A) 物聯網技術 (B) 行動計算技術(C) 分散式處理技術 (D) 平行處理技術
30. 以下關於開放原始碼軟體特性的敘述何者不正確? (A) 是一種完全免費的軟體(B) 使用者具修進軟體程式的自由(C) 使用者具研究軟體程式的自由(D) 使用者具執行軟體程式的自由
31. 以下何者不是程式語言的整合開發環境(IDE)? (A) Eclipse (B) NetBean (C) BlueJ (D) Ruby
32. 以下何者不是一種軟體架構? (A) Django (B) Spring (C) MVC (D) Form
33. 以下有關程式設計的敘述何者正確? (A) 多執行緒就是讓多個程式可以同時執行的方式(B) C/C++的#include 指令等同 Java 的 import 指令(C) C/C++提供有例外事件處理機制(D) Java 程式不用處理其不再使用的記憶空間
34. 以下關於物件導向程式設計標準的敘述何者不正確? (A) 函數需定義在類別(B) 類別是一種原生資料型別(C) 程式碼皆須於類別內(D) 建構者函數不需宣告回傳值型別
35. 以下關於程式錯誤的敘述何者不正確? (A) 不正確的指令會造成編譯錯誤(compile error)(B) 藉由程式編譯可檢驗程式執行錯誤(runtime error)(C) 程式執行出現意外中斷的狀況為一種程式執行錯誤(runtimeerror)(D) 程式執行後的輸出結果不正確屬於是邏輯錯誤(logic error)
36. 以下何項軟體不適用於國小程式設計教育? (A) Blockly (B) Atom (C) mBlock (D) Scratch
37. 下列 C 程式碼何者會導致未定義行為(Undefined Behavior)? (A) char chs[] = "12345";(B) int i = 0; i = i++;(C) int p = 0; printf("%d", p);(D) int p = 0; printf("%p", (void*)&p);
38. 以下哪一種資料搜尋法最不受資料增減的影響? (A) 雜湊搜尋法(Hashing Search)(B) 內插搜尋法(Interpolation Search)(C) 二元搜尋法(Binary Search)(D) 二元樹搜尋法(Binary Tree Search)
39. 以下哪一種問題適合以求近似解的方式發展演算法? (A) 資料排序問題(B) 資料搜尋問題(C) 旅行推銷員問題(D) 無負環(Negative Cycle)的最短路徑問題第 5 頁,共 6 頁
40. 透過以下何種網路設備可以無限制擴充網路? (A) Router (B) Bridge (C) Hub (D) Repeater
41. 乙太網路屬於 OSI 網路架構的哪一層協定? (A) 應用層 (B) 網路層 (C) 傳輸層 (D) 資料連結層
42. 以下哪一個網路協定不屬於資料連結層? (A) 802.11 (B) RARP (C) PPP (D) CSMA/CD
43. 以下哪一種網路安全技術可防止資料傳送過程遭竊聽的威脅? (A) VPN (B) Firewall (C) IDS (D) Proxy Server
44. 以下關於 SSL、SET 及 TLS 三種網路交易安全技術的敘述何者正確? (A) SET 要求對參與交易的每一方做身分認證(B) SET 是 TLS 的改進版(C) TLS 由於要求客戶端須使用電子錢包因此便利性是三者中相對最低者(D) SSL 使用 128 位元加密是三者中相對安全性最高者
45. 以下關於阻斷服務攻擊(DoS)的敘述何者不正確? (A) 常利用殭屍電腦傳送大量流量至受攻擊的系統(B) 常使用偽造的來源封包所以不易查出攻擊的來源(C) 係利用 ICMP 協定製造洪流式攻擊(D) 管理者可以使用網路 IDS 的功能來追蹤及防範
46. 以下關於資料庫正規化的敘述何者不正確? (A) 沒有正規化會造成資料庫的資料存取效率降低(B) 沒有正規化會造成資料庫的資料儲存空間效率降低(C) 正規化是一種將相關資料進行分割的過程(D) 正規化的階段是以相依性的類型做為區分依據
47. 以下關於大數據分析系統的敘述何者不正確? (A) 使用分散式處理 (B) 使用平行處理(C) 使用正規化資料庫 (D) 使用 NoSQL 做資料存取
48. 關於多工作業系統行程管理中行程狀態間的變換不會有以下哪一種? (A) 從等待狀態進入就緒狀況 (B) 從執行狀況進入就緒狀態(C) 從執行狀況進入等待狀態 (D) 從等待狀態進入執行狀況
49. 以下何種人工智慧技術最適用於求最佳化的問題? (A) 模糊邏輯 (B) 基因演算法(C) 人工神經網路 (D) 專家系統
50. 以下有關人工智慧的敘述何者不正確? (A) 模糊邏輯可用來表示知識的不確定性(B) 人工神經網路是一種學習演算法(C) 法則知識表示法中之條件是由變數與關鍵值的關係所構成(D) 基因演算法是將問題中欲求解的未知數對應成染色體中的基因後進行求解
申論題 (0)
相關試卷
113年 - 113 金門縣國民小學教師聯合甄選試題:資訊科技專業科目#120867
113年 · #120867
113年 - 113 高雄市市立國民小學_教師聯合甄選:專長類-資訊試卷#120693
113年 · #120693
112年 - 112 新北市國民小學暨幼兒園教師甄選試題:資訊科#118895
112年 · #118895
112年 - 112-1 國立臺東大學附設實驗國民小學教師甄選試題:資訊專業科目#115036
112年 · #115036
112年 - 112 臺北市市立國民中學正式教師聯合甄選:資訊科技(雙語)科#114640
112年 · #114640
112年 - 112 臺北市市立國民中學正式教師聯合甄選:資訊科技科#114633
112年 · #114633
112年 - 112 高雄市市立高級中等學校聯合教師甄選試題:資料處理科#114465
112年 · #114465
112年 - 112-1 國立東華大學附設實驗國民小學教師甄選題目:資訊專業#114445
112年 · #114445
112年 - 112 臺北市市立普通型暨技術型高級中等學校正式教師聯合甄選:資料處理科#114335
112年 · #114335
112年 - 112 新北市公立高級中等學校教師聯合甄選試題:資訊科#114159
112年 · #114159