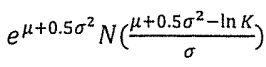
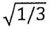
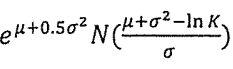
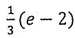
11. (5%) Suppose that a random variable S follows a lognormal distribution and its probability density function is

where μ and σrepresent the mean and standard deviation of the lognormal distribution, respectively. Define N(d) as the cumulative probability of the standard normal distribution from -∞ to a constant d. What is the expected value of S conditional on S≥ K, where K is a nonnegative constant? (A)
(B)
(C)
(D) None of the above