所屬科目:台大◆企管◆微積分(C)
3.Find the least squares approximation h(x) = ax + ax2 for f(x) = e-x, 0 ≤ x ≤ 1. [Hint: Solve a by minimizing the integral of the squared difference between f(x) and h(x).]
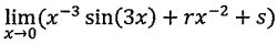
5.If = 0, what are the values of r and s?
6.Find In sec 5x.
7.Evaluate the definite integral .
8.Find the area of an ellipse by using the parametric equations x = 5 cosθ, and y = 6 sinθ.
9.Find the interval of convetgence for the power series .