所屬科目:台大◆企管◆微積分(C)
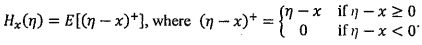
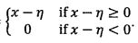
(b) (10%) Prove that Hx(η) -(η-E[x]) = E(x-η)+],where (x-η)+=
(b) (6%) Derive and expressas the form of AN(B). What are A and B?
(c) (8%) Derive and express as C + Dd2 and E + Fd2, respectively. What are C, D, E, and F?
(d) (6%) Derive and express ar as the form of Gn(H). What are G and H?
3.(10%) Given xcosy + ycosx = 1, find
5. (10%) Find ∫ sin 3x cos 2x dx.
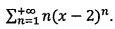
6. (10%) Determine whether the infinite series is convergent or divergent.
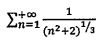
7. (10%) Determine the interval of convergence of the power series