所屬科目:台大◆企管◆微積分(C)
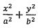
2. (10%) Find the area of the region E bounded by the ellipse = 1.
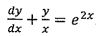
3. (10%) Solve .
4. (10%) Suppose that the real-valued function f:1→R is integrable, where I = [a,b] x [c, d] is a rectangle in the plane R2. To use Fubini's Theorem to calculate the integral ∫If, what conditions are required? State and explain Fubini's Theorem in detail.
7. (10%) A company's marginal cost function is and fixed costs are 200, where x is a nonnegative real number that denotes the amount of units produced. Find its cost as a function of x. (Hint: Marginal cost is the cost added by producing one additional unit of a product or service.)
(a) (10%) Prove that
(b) (8%) Derive and express as AN(B) and CN(D), respectively. What are A, B, C, and D?
(c) (8%) Derive and express express as EN(F) +Gn(H) and IN(I)+ Kn(L), respectively. What are E, F, G, H, I, I, K, and L?
(d)(4%) In what condition does