所屬科目:研究所、轉學考(插大)-微積分
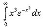
(a) (7%) Find .
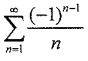
(c) (5%) Find the value of the infinite series.
(a) (6%)
(b)(6%)
(c)(8%)
(b) (7%) Find the equation the tangent line at the point on level curve C.
5. (15%) EvaluatedA, where R is the region bounded by x=1, x=3, xy=1, and xy=4.