所屬科目:物理化學(包括化工熱力學)
⑴請寫出標準生成熱焓(standard enthalpy of formation),以及所謂的參考狀態 (reference state)的定義,並且舉一個實際的例子加以說明。(10 分)
⑵詳細推導與說明,為什麼前述的公式,也可以寫成 (10 分)
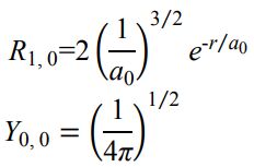
三、氫原子的波函數,以球坐標系統可以表示為兩個部分(半徑方向部分,徑向函數, 與經緯角度部分,經緯函數)的函數的乘積1s 軌道,對應 n = 1, l = 0, ml = 0。已經標準化的徑向函數與經緯函數,分別為已知 a0 = 59.2 pm,1 pm = 10-3 nm,以及分部積分(integration by part)公式:依據期待值,〈r〉=∭Ψ* rΨ dτ的計算方法,其中dτ=r2drsin θ dθdϕ,計算平均半徑〈r〉 為多少 nm。(20 分)
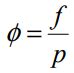
⑴在上面這兩個式子裡的,是完全相同的物理量嗎?如果是相同,請詳細說明此物理量的定義;如果不相同,請詳細說明其不同的意義。(10 分)
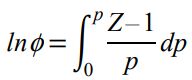
⑵科學家進一步定義所謂的 fugacity coefficient 為寫出化學熱力學基本方程式(the fundamental equation of chemical thermodynamics), 並且利用此基本公式推導
其中 Z 為氣體的壓縮因子(compressibility factor)。(10 分)