所屬科目:數學
01. 台船公司電梯外張貼一張搭乘須知,內容為「本電梯安全搭乘人數為人,請勿超過安全人數。」若有人要搭乘電梯,且在安全範圍內,則搭乘須知的敍述用不等式可以如何表示? (A) x < 9(B) x ≤ 9(C) x > 9(D) x ≥ 9
02. 下列各函數中,哪一個不是線型函數? (A) f(x) = 60x + 20(B) g(x) = −10(C) h(x) = 40x² + 100(D) k(x) = 90 −
03. 下列選項中,何者可表示數線上不等式 4x + 3 < 6x − 7 解的範圍? (A)(B)(C)(D)
04. 下列哪一個算式的結果為正數? (A) (−3) + (−3) + (+3)(B) (−2) × (−2) × (+2)(C) (−4) × (−4) × (−4)(D) (−5) ÷ (−5) + (−5)
05. (−7)⁻², (−6)⁻³, 5⁻⁴, −4², 3⁰,以上數值中為正數有幾個? (A) 4 個(B) 3 個(C) 2 個(D) 1 個
06. 在數線上將 0 與 -1 兩點間的部分分成 8 等分後,得 7 個等分點,那麼由右起向左數第 6 個等分點所表示的數為何? (A) −0.75(B) −0.6(C) −3(D) −4
07. 若 x、y 皆為正整數,則二元一次方程式 4x + y = 10 共有幾組解? (A) 1 組(B) 2 組(C) 3 組(D) 無限多組
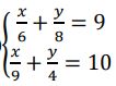
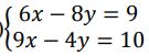
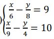
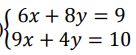
08. 羽球社的學員中,七年級共有 x 人,八年級共有 y 人。若七年級每組 6 人,八年級每組 8 人,總共可分為 9 組;若七年級每組 9 人,八年級每組 4 人,總共可分為 10 組。依題意可列得二元一次聯立方程式為何? (A)(B)(C)(D)
09. 已知 (a, b) 在第三象限,則 (a², −b) 在第幾象限? (A) 第一象限(B) 第二象限(C) 第三象限(D) 第四象限
10. 下列哪一個式子化簡後等於 −x? (A) −(x + 1) − 1(B) x × (−1)²(C) (−x) ÷ (−1) − 4x + 3x
11. 計算 678 × 0.8 − 的值為何? (A) −444(B) 335.52(C) 640.8(D) 444
12. △ABC 中,∠ABC = ∠AED, = 2、= 3、= 6,則 = ?
(A) 4(B) 4.5(C) 5(D) 5.5
13. 小妍利用影印機將甲圖縮放 125% 得到乙圖,若小翊欲將乙圖縮放回甲圖的大小,則此時的縮放倍率為多少? (A) 縮放 80%(B) 縮放 0.8%(C) 縮放 125%(D) 縮放 1.25
14. 下列何者錯誤? (A) 球被一平面所截出來的圖形是扇形<br>(B) 圓柱沒有頂點<br>(C) 五角錐共有 10 個邊<br>(D) 三角柱共有 5 個面
15. 若數線上三點 A、B、C 所代表的數分別為 −8、13、−14,則 = ? (A) 21(B) 50(C) 54(D) 55
01. 若函數 f(x) = 3x = 1,求 x = 2 的函數值 = _____
02. 函數 f(x) = x + 1,g(x) = 3x − 7,如果 f(a) = g(a),則 a = _____
03. 3 : 7 = x : 35,則 x = _____
04. 在數線上,A(5)、B(b)、C(c) 三點,若 A、B 兩點距離為 6,C 為 A、B 兩點的中點,請問 C 點坐標可能是在哪裡?
05. 二次函數圖形 y = 3x² − 2x − 6 與 X 軸的交點個數有 _____ 個。
06. 將多項式 5 − x³ − 7x 按照降冪排列寫出。
07. 若 x² + mx + n 可被 x + 3 或 x − 7 整除,則 m + n = _____。
08. 若 x 的方程式 x² + ax + b = 0 的解為 1 與 −3,求 a + b 之值為 _____。
09. 某班共有 x 位學生,該班同學某一次戶外教學課,活動費估計 3600 元,經表決後班上的 6 位清寒同學不必繳費,因此其餘同學每人須多分攤 20 元,則此班共有多少位學生?
10. 如下圖,矩形 ABCD 中,已知 OD = 8 公分,且 ∠DOC = 60°,則 CD = _____ 公分。